Open Access

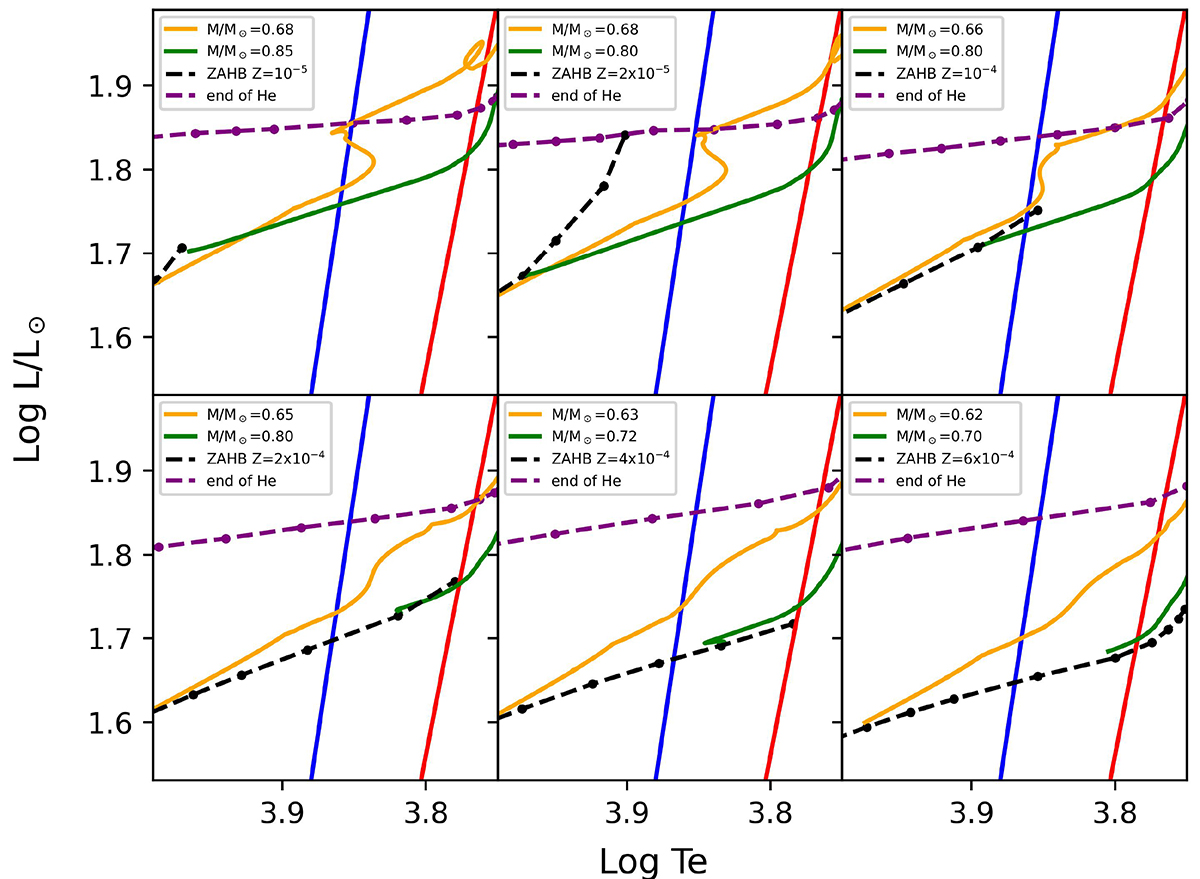
Fig. C.1.

image

Download original image

Hertzsprung-Russell diagram for low-mass stars during central helium-burning phases. The different panels display predictions for different metal-poor and extremely metal-poor chemical compositions (see labelled values). The dashed lines show the ZAHB (black) and the end-of-central-helium burning (endHB, purple). Coloured lines are selected HB evolutionary models showing the typical RRL crossing of the IS. The green line shows the evolutionary path of a star close to the ZAHB while the orange line the evolutionary path of a low-mass evolved RRL. Masses that produced RRLs are highlighted in the legend. The almost vertical blue and red lines display the predicted RRL instability strip from Marconi et al. (2015) updated with extremely metal-poor pulsation models at Z = 0.00001.

Current usage metrics show cumulative count of Article Views (full-text article views including HTML views, PDF and ePub downloads, according to the available data) and Abstracts Views on Vision4Press platform.

Data correspond to usage on the plateform after 2015. The current usage metrics is available 48-96 hours after online publication and is updated daily on week days.

Initial download of the metrics may take a while.