Open Access

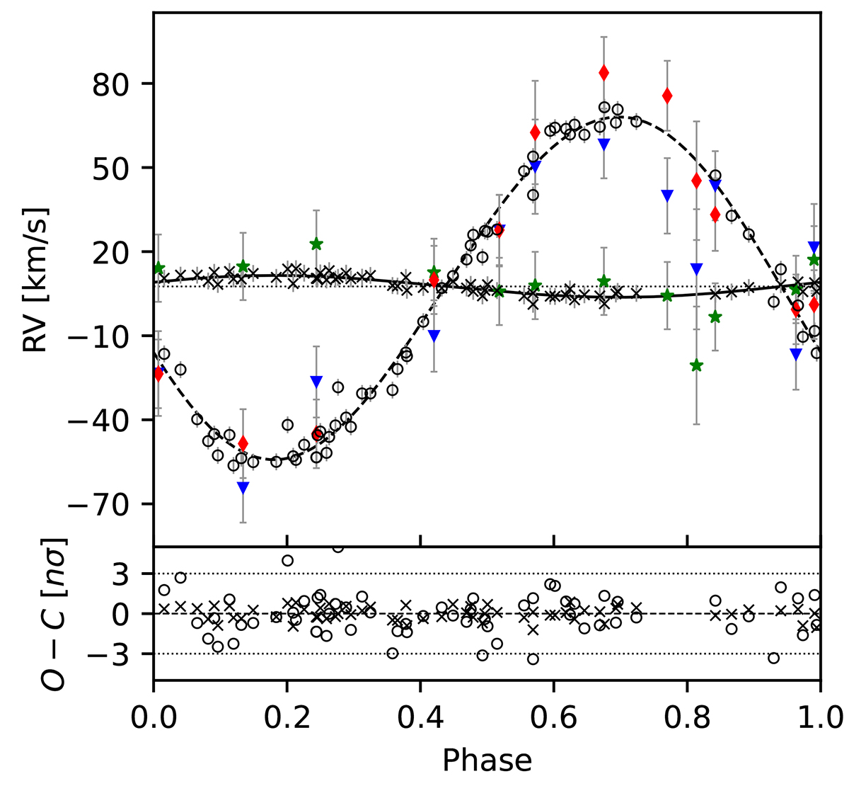
Fig. 4.

image

Download original image

RV curves for the combined eccentric solution using Be star RVs. The Be star and pre-sd star RV curves (solid and dashed curves, respectively) are overplotted with the RVs measured by Gies & Wang (2020) for the Be star and the pre-sd star (x symbols and empty circles, respectively), RVs measured from the Keplerian disk signature in Brγ in GRAVITY data (green stars), and RVs from He Iλ20587 and He Iλ21126 DPHI signatures in GRAVITY data (blue triangles and red diamonds, respectively). The errors of the RVs derived from GRAVITY data are dominated by the wavelength calibration uncertainty (Sect. 2). The lower panel shows the residuals in units of σ for the main RV dataset of Gies & Wang (2020).

Current usage metrics show cumulative count of Article Views (full-text article views including HTML views, PDF and ePub downloads, according to the available data) and Abstracts Views on Vision4Press platform.

Data correspond to usage on the plateform after 2015. The current usage metrics is available 48-96 hours after online publication and is updated daily on week days.

Initial download of the metrics may take a while.