Open Access

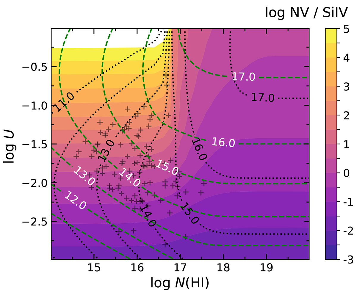
Fig. 4.

image

Download original image

N V/Si IV ratio (color scale) as a function of the ionization parameter and the H I column density in the cloud. The dashed green and dotted black lines represent the column densities of N V and Si IV scaled by the metallicity, i.e., log N(N V) − log Z/Z and log N(Si IV) − log Z/Z. Crosses correspond to measurements in the individual components in our sample. Typical uncertainties on the observed column densities are about 0.2 dex. While these uncertainties are considered when inferring the U and N(H I) ranges, they are not represented here, to avoid overcrowding the figure.

Current usage metrics show cumulative count of Article Views (full-text article views including HTML views, PDF and ePub downloads, according to the available data) and Abstracts Views on Vision4Press platform.

Data correspond to usage on the plateform after 2015. The current usage metrics is available 48-96 hours after online publication and is updated daily on week days.

Initial download of the metrics may take a while.