Open Access

Fig. 1.

image

Download original image

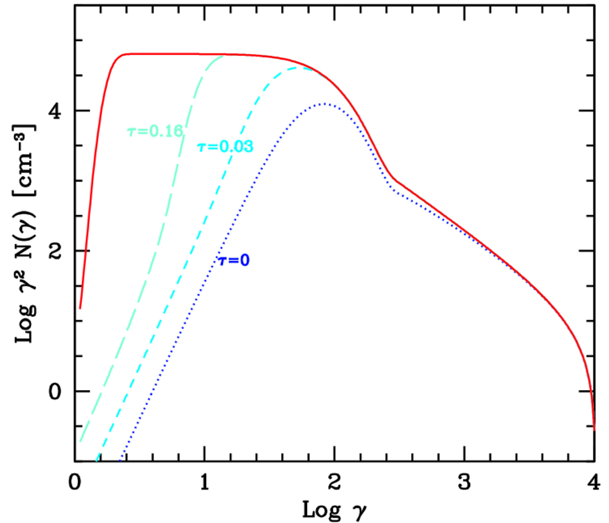
Electron energy distribution in the emission region calculated at different times (given in units of the light crossing time, R/c) with the parameters used for model A. The equilibrium distribution comprises a cooled low-energy tail N(γ)∝γ−2, the high-energy tail (rapidly decreasing as a function of energy) of the thermal Maxwellian (which has the peak at γ ≃ 100), and the high-energy nonthermal power law with slope p + 1 (with p = 2.3 the slope of the injected power law) up to the cutoff at γc.

Current usage metrics show cumulative count of Article Views (full-text article views including HTML views, PDF and ePub downloads, according to the available data) and Abstracts Views on Vision4Press platform.

Data correspond to usage on the plateform after 2015. The current usage metrics is available 48-96 hours after online publication and is updated daily on week days.

Initial download of the metrics may take a while.