Open Access

Fig. 5

image

Download original image

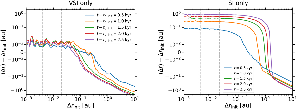
Difference between average and initial radial separation Δr of dust particle pairs as a function of their initial separation in simulations of the vertical shear instability (left panel) and the streaming instability (right panel) with 3 cm-sized dust. We note that the scale of the abscissa is linear between 10−2 and −10−2 and logarithmic otherwise. If their initial separation is less than ~0.1 au (equivalent to 0.08 and 1.5 gas scale heights at the inner and outer radial boundaries), the distance between two particles remains roughly constant if only the vertical shear instability is simulated, while the streaming instability causes the distance to gradually increase with time (differently coloured solid lines). The dashed grey lines mark initial separations of 0.004 au and 0.2 au; we choose these scales to measure small-scale and large-scale radial diffusion induced by the two instabilities individually and jointly. If the initial separation exceeds ~0.1 au, on the other hand, two particles move closer together with time in both simulations. This is because the inward drift speed of the particles increases with the radius, and the separation of particles at different radii thus decreases.

Current usage metrics show cumulative count of Article Views (full-text article views including HTML views, PDF and ePub downloads, according to the available data) and Abstracts Views on Vision4Press platform.

Data correspond to usage on the plateform after 2015. The current usage metrics is available 48-96 hours after online publication and is updated daily on week days.

Initial download of the metrics may take a while.