Open Access

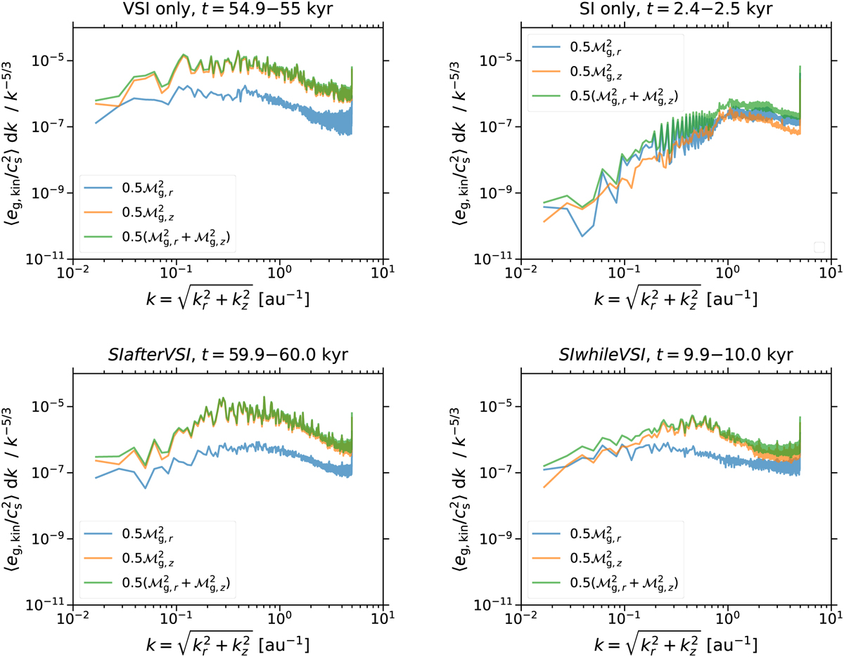
Fig. A.1

image

Download original image

Power spectra of the gas specific kinetic energy eg,kin, non-dimensionalised using the square of the sound speed cs, as functions of the wavenumber k=kr2+kz2$\[k=\sqrt{k_{r}^{2}+k_{z}^{2}}\]$. The top left, top right, bottom left, and bottom right panels, respectively, show simulations of the vertical shear instability and of the streaming instability as well as of the scenarios SIafterVSI and SIwhileVSI with a dust size of 3 cm. The kinetic energy is calculated taking into account different velocity components, with the resulting spectra being plotted using differently coloured lines. All spectra are averaged over 100 yr and normalised to the spectrum of Kolmogorov turbulence Eg,kink−5/3. The spectra are similar in our simulations of only the vertical shear instability, of the scenario SIafterVSI, and of the scenario SIwhileVSI when considering scales greater than ~1 au, with the kinetic energy associated with the vertical velocity being higher by as much as an order of magnitude than the energy associated with the radial velocity. In comparison, the energies in the simulation of the streaming instability in isolation are largely equal for the two velocity components but generally lower; only on scales of ~1 au and smaller are they comparable to the energy in the radial motions owing to the vertical shear instability. At the same scales, the power spectra in the simulation of the scenario SIwhileVSI seem a mixture of the spectra in the simulations of the streaming instability and the vertical shear instability individually in terms of magnitude and direction-dependence of the kinetic energy.

Current usage metrics show cumulative count of Article Views (full-text article views including HTML views, PDF and ePub downloads, according to the available data) and Abstracts Views on Vision4Press platform.

Data correspond to usage on the plateform after 2015. The current usage metrics is available 48-96 hours after online publication and is updated daily on week days.

Initial download of the metrics may take a while.