Open Access

Fig. 1

image

Download original image

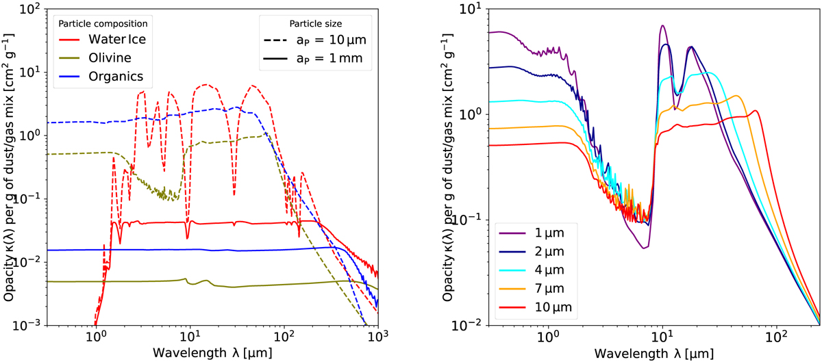
Computed opacity functions for water ice, olivine and organics for individual components of single particle sizes (Left), scaled according to the available dust mass according to Eq. (2). The millimetre-sized particles make up the ‘L’ particle mix, whereas the 10 µm particles make up the ‘S’ particle mix (see also in the main text and Table 1). In general, it becomes evident that 10 µm particles are already fairly grey, except for the water ice. Furthermore, we show how this greyness, and particularly the disappearance of the prominent 10 µm feature for olivine, results from step-wise dust growth (Right). The opacity functions for the solid lines on the right are computed for pure olivine at single sizes only. The step-wise increase in size highlights the disappearance of the 10 µm-SiO feature in our spectra for dust sizes ≥10 µm, as then the size parameter 2πa/λ enters the interference regime of Mie-scattering.

Current usage metrics show cumulative count of Article Views (full-text article views including HTML views, PDF and ePub downloads, according to the available data) and Abstracts Views on Vision4Press platform.

Data correspond to usage on the plateform after 2015. The current usage metrics is available 48-96 hours after online publication and is updated daily on week days.

Initial download of the metrics may take a while.