Open Access

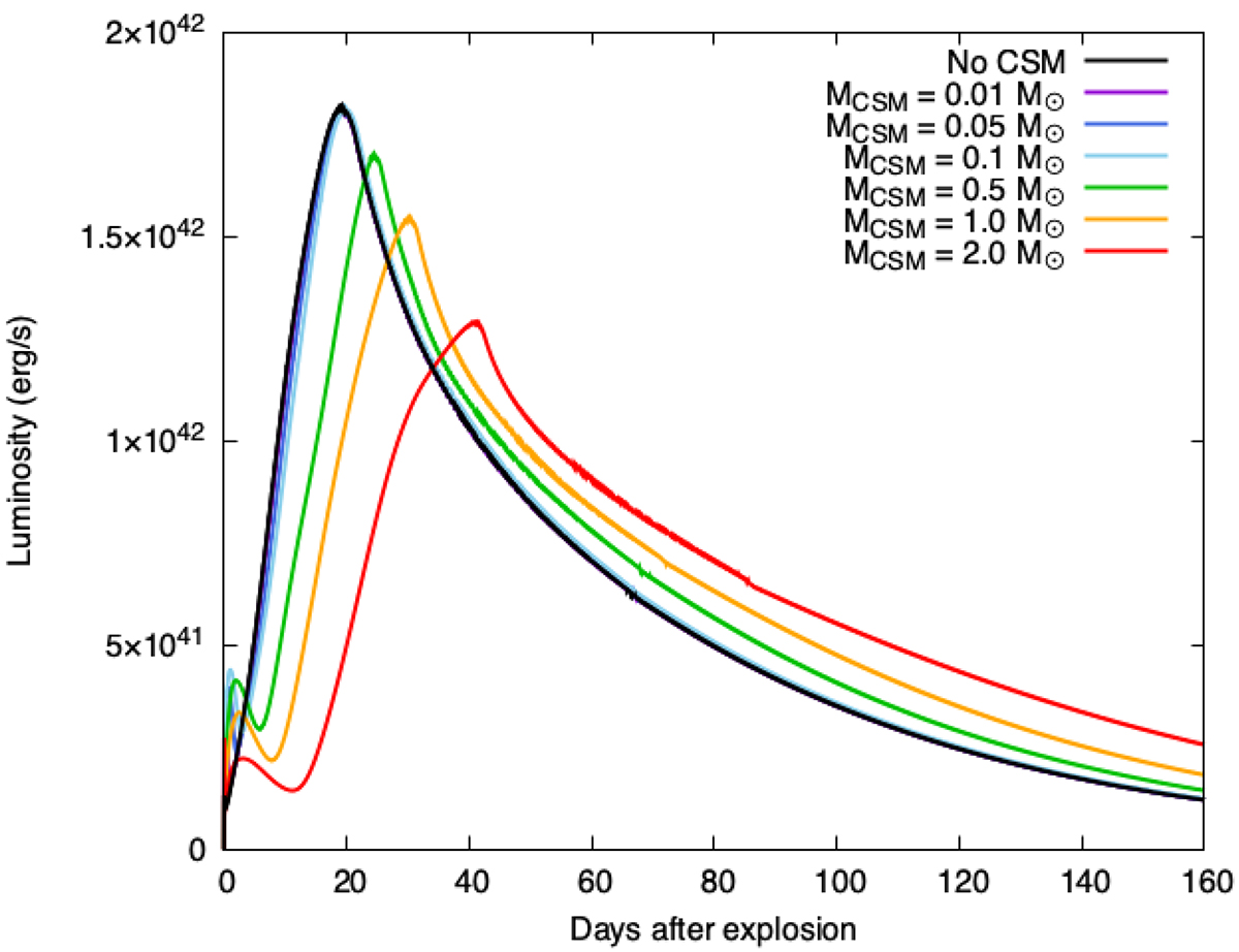
Fig. 6.

image

Download original image

Effect of a different CSM mass on the bolometric light curves of single-star models. The black line represents the non-interacting reference model (Table 1, S1). In contrast, the violet, dark blue, light blue, green, orange, and red lines illustrate the effect of circumstellar matter with a mass of 0.01, 0.05, 0.1, 0.5, 1, and 2 M, respectively.

Current usage metrics show cumulative count of Article Views (full-text article views including HTML views, PDF and ePub downloads, according to the available data) and Abstracts Views on Vision4Press platform.

Data correspond to usage on the plateform after 2015. The current usage metrics is available 48-96 hours after online publication and is updated daily on week days.

Initial download of the metrics may take a while.