Open Access

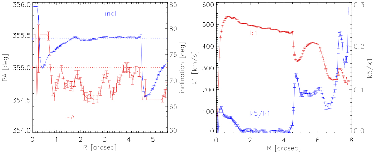
Fig. 9.

image

Download original image

Parameters of the CO disk as determined by Kinemetry. Left: Fitted major axis PA (red; left y axis) and inclination (blue; right y axis) as a function of radius. Right: Kinemetry derived k1 coefficient (red: the amplitude of the “pure-rotative” component k1 cos θ projected for inclination; left y axis), and k5/k1 (blue: the ratio of the sum of the amplitudes of the non-rotative components – cos() and sin() for n = 1, 2, 3, 4 – to k1; right y axis) as a function of radius. Error bars shown are as reported by Kinemetry. The stability of all values in both panels over the radius range 1 . 5 $ 1{{\overset{\prime\prime}{.}}}5 $ to 4″ can be noted.

Current usage metrics show cumulative count of Article Views (full-text article views including HTML views, PDF and ePub downloads, according to the available data) and Abstracts Views on Vision4Press platform.

Data correspond to usage on the plateform after 2015. The current usage metrics is available 48-96 hours after online publication and is updated daily on week days.

Initial download of the metrics may take a while.