Open Access

Fig. 14

image

Download original image

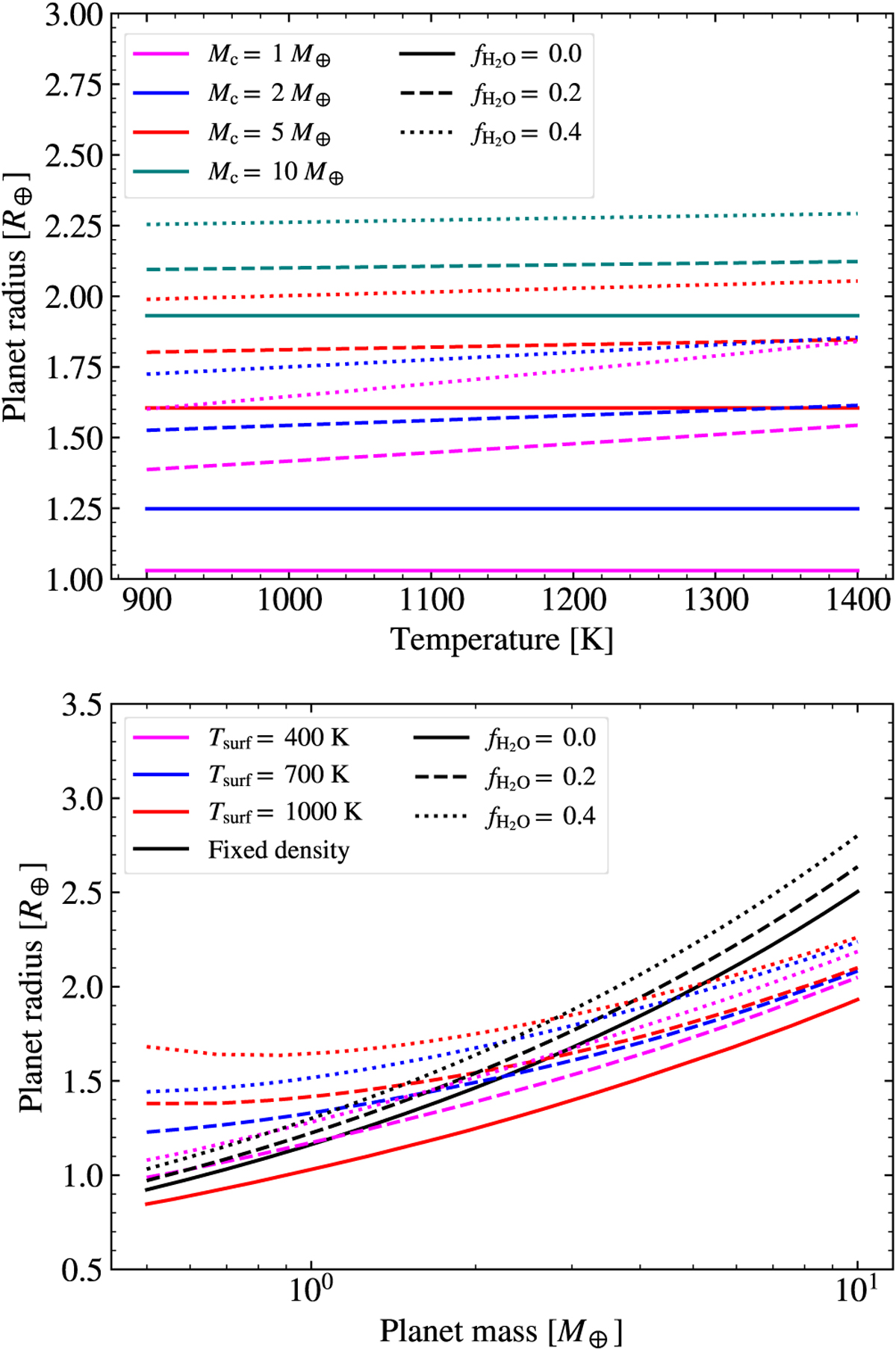
Top: planet radius as a function of temperature for several planets with varying masses and water mass fractions. The effect of surface temperature is small in all cases, with the exception of the planet with a mass of 1 M and a high water mass fraction (40%). Planets that occupy the radius valley or the sub-Neptune population requires either a high water mass fraction (40%) or to be sufficiently massive (>2 M for water mass fractions of 20% or >5 M for dry planets). Bottom: planet radius as a function of planet mass for different surface temperatures. The different line types denotes the same water mass fractions as in the top panel. The black lines show our nominal radii using uncompressed densities of the core. The solid magenta and blue lines all overlap with the red solid line since the radius is independent of surface temperature when the water mass fraction is 0.

Current usage metrics show cumulative count of Article Views (full-text article views including HTML views, PDF and ePub downloads, according to the available data) and Abstracts Views on Vision4Press platform.

Data correspond to usage on the plateform after 2015. The current usage metrics is available 48-96 hours after online publication and is updated daily on week days.

Initial download of the metrics may take a while.