Open Access

Fig. 3

image

Download original image

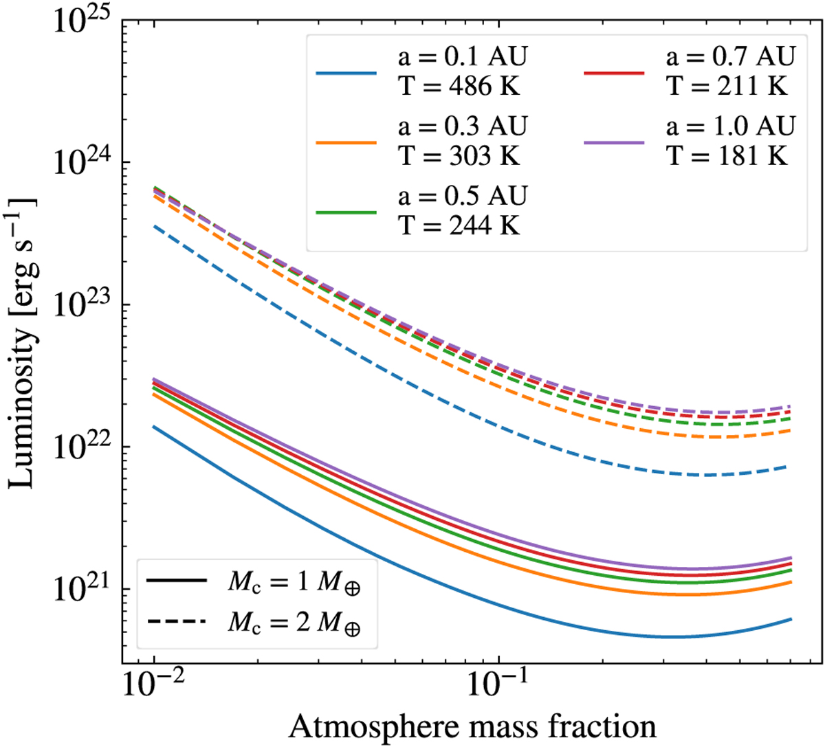
Embedded planet luminosity as a function of atmosphere mass fraction for different distances to the host star. We also show the temperature of the surrounding protoplanetary disc for all distances. The solid lines are the luminosities for a planet with a core mass of 1 M while the dashed lines are the luminosities using a planet with a core mass of 2 M. For both core masses, the luminosity increases by a factor of ~2.5 when placed at a distance of 1 AU compared to 0.1 AU. Further, when the core mass is doubled, the luminosity increases by a factor of approximately ten for similar distances to the host star.

Current usage metrics show cumulative count of Article Views (full-text article views including HTML views, PDF and ePub downloads, according to the available data) and Abstracts Views on Vision4Press platform.

Data correspond to usage on the plateform after 2015. The current usage metrics is available 48-96 hours after online publication and is updated daily on week days.

Initial download of the metrics may take a while.