Open Access

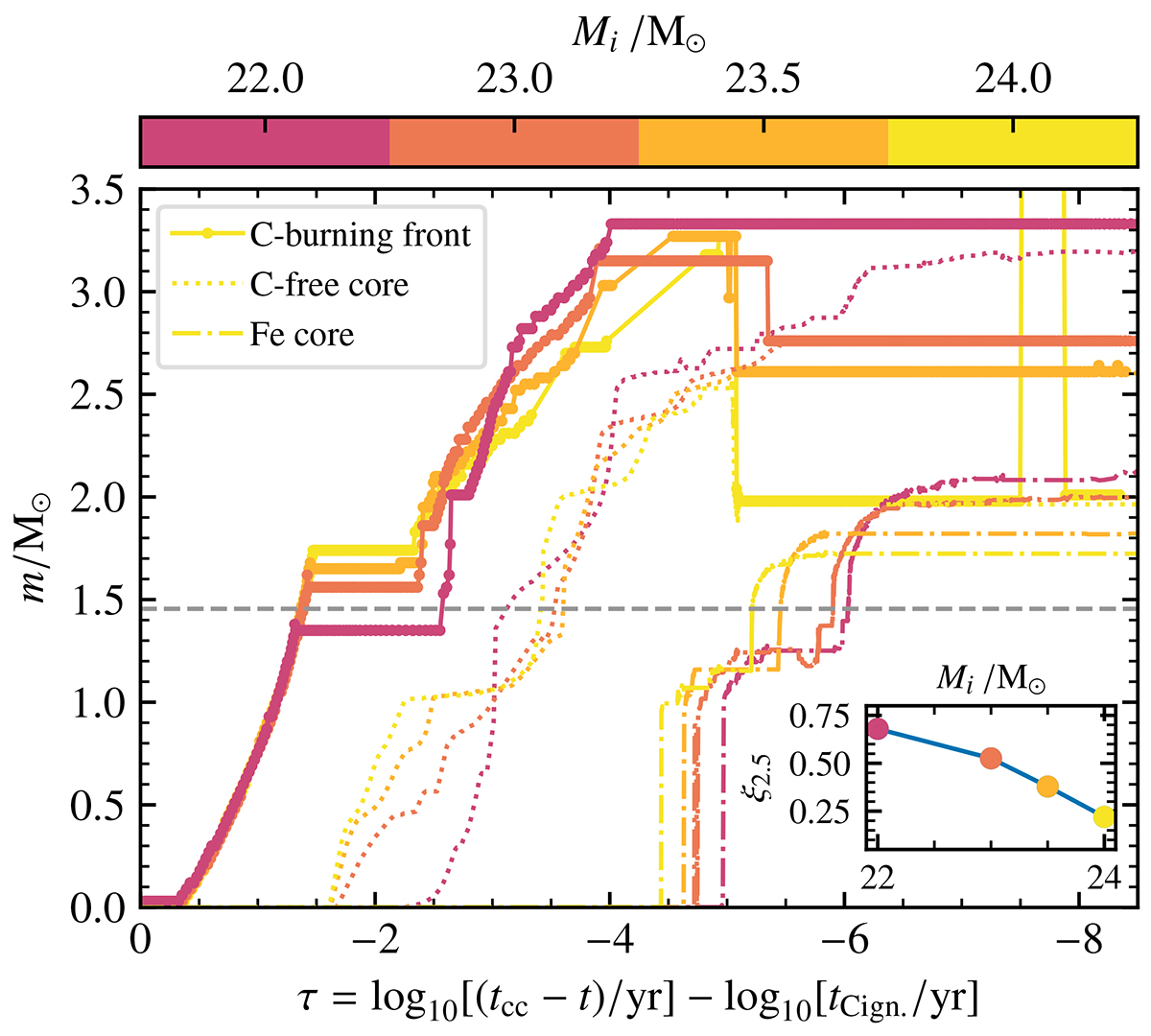
Fig. 10.

image

Download original image

Same as Fig. 9 but for models beyond the compactness peak (region B in Fig. 1, see inset). As a function of initial mass, neon burning ignites systematically earlier (as traced by the C-free core mass) and slows down the progression of the C-burning front. Shell mergers between the C/Ne/O-burning fronts are responsible for the sudden drops in the C-burning front at τ ≈ −5. Ultimately, for increasing masses, these models form systematically smaller iron-rich cores.

Current usage metrics show cumulative count of Article Views (full-text article views including HTML views, PDF and ePub downloads, according to the available data) and Abstracts Views on Vision4Press platform.

Data correspond to usage on the plateform after 2015. The current usage metrics is available 48-96 hours after online publication and is updated daily on week days.

Initial download of the metrics may take a while.