Open Access

Fig. 3.

image

Download original image

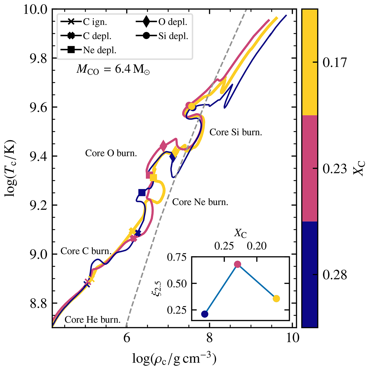
Central temperature as a function of the central density for models with the same core mass and different carbon mass fractions XC after core helium burning (indicated in the color bar). The previous evolution of the core (not shown here for clarity) is indistinguishable for all models, while the post-core-helium-burning evolution is greatly affected by the differences in central carbon abundance. Symbols indicate key evolutionary phases. To the right of the gray dashed line, electron degeneracy dominates the pressure. The inset axis indicates the final compactness of the models as a function of decreasing XC.

Current usage metrics show cumulative count of Article Views (full-text article views including HTML views, PDF and ePub downloads, according to the available data) and Abstracts Views on Vision4Press platform.

Data correspond to usage on the plateform after 2015. The current usage metrics is available 48-96 hours after online publication and is updated daily on week days.

Initial download of the metrics may take a while.