Open Access

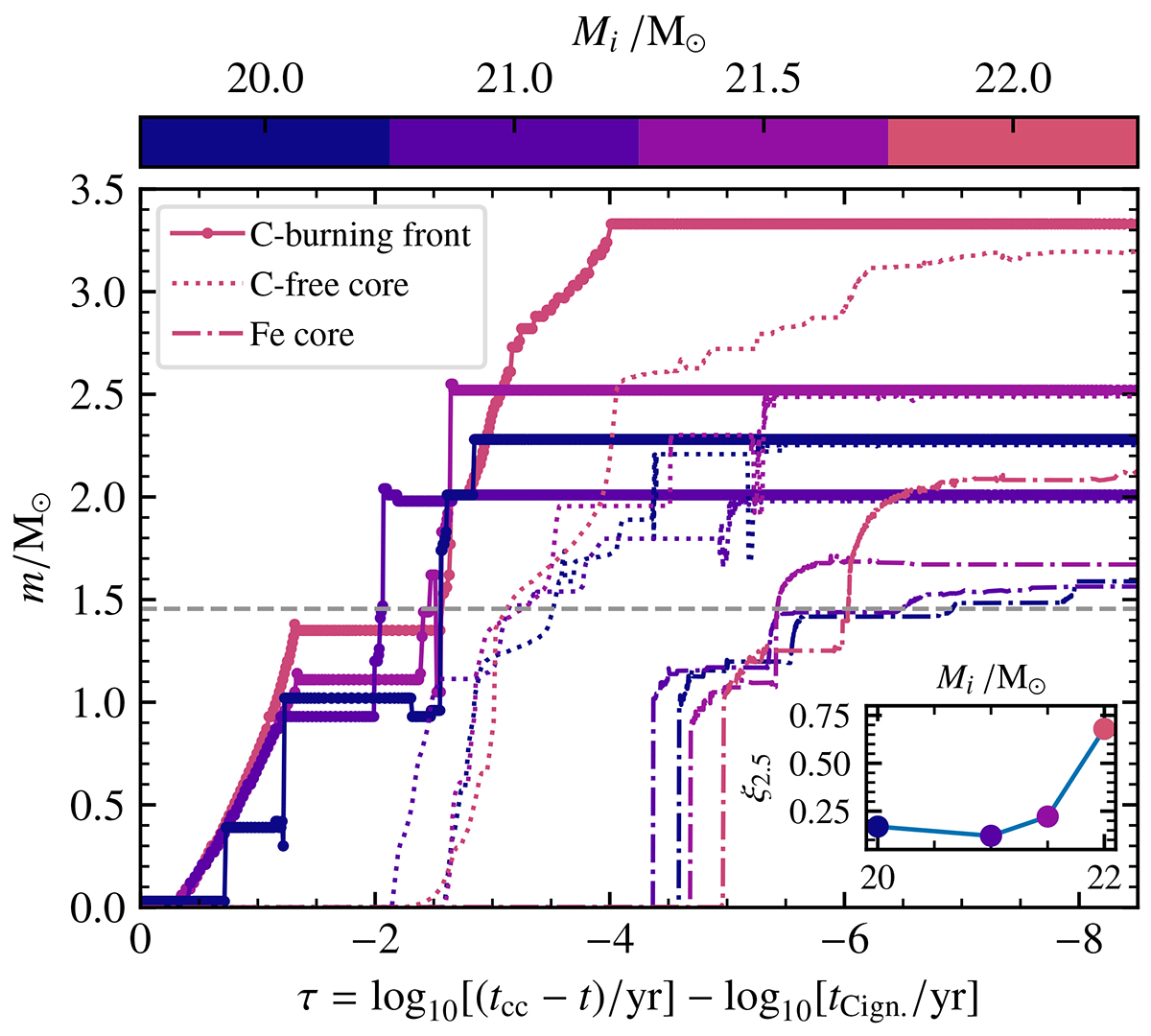
Fig. 9.

image

Download original image

Evolution of the C-burning front, the C-free core (which follows the progression of neon burning), and the iron-rich core as a function of time from carbon burning to core collapse for models before and up to the compactness peak (region A of Fig. 1, see inset). As carbon burning becomes increasingly neutrino-dominated, the C-burning front moves further out in mass, ultimately leading to the formation of a larger C-free and iron-rich core.

Current usage metrics show cumulative count of Article Views (full-text article views including HTML views, PDF and ePub downloads, according to the available data) and Abstracts Views on Vision4Press platform.

Data correspond to usage on the plateform after 2015. The current usage metrics is available 48-96 hours after online publication and is updated daily on week days.

Initial download of the metrics may take a while.