Open Access

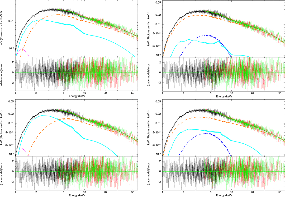
Fig. 4.

image

Download original image

Best-fitting results with different reflection models (M1 and M2 from left to right at the top; M3 and M4 at the bottom) for NICER/NuSTAR observations of XTE J1739–285. We show the fitted spectra and the individual model components (main panel), and the residuals in terms of sigmas (subpanel) in the plots. The components diskbb, blackbody, (thcomp × diskbb) or (thcomp × bb), and relxillCp or relxilllpCp are plotted with the dotted purple line, the dot-dashed deep blue line, the dashed orange line, and the solid light blue line, respectively.

Current usage metrics show cumulative count of Article Views (full-text article views including HTML views, PDF and ePub downloads, according to the available data) and Abstracts Views on Vision4Press platform.

Data correspond to usage on the plateform after 2015. The current usage metrics is available 48-96 hours after online publication and is updated daily on week days.

Initial download of the metrics may take a while.