Open Access

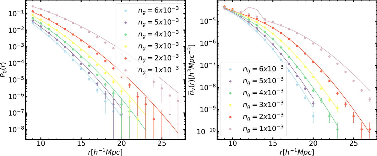
Fig. H.1.

image

Download original image

VPF (left panel) and number density of voids larger than r (right panel) in real space predicted by the theoretical framework developed in this work (continuous lines) and measured in Uchuu galaxy box (points) for different galaxy number densities, ng (in units of h3Mpc−3), at redshift z = 0.092.

Current usage metrics show cumulative count of Article Views (full-text article views including HTML views, PDF and ePub downloads, according to the available data) and Abstracts Views on Vision4Press platform.

Data correspond to usage on the plateform after 2015. The current usage metrics is available 48-96 hours after online publication and is updated daily on week days.

Initial download of the metrics may take a while.