Open Access

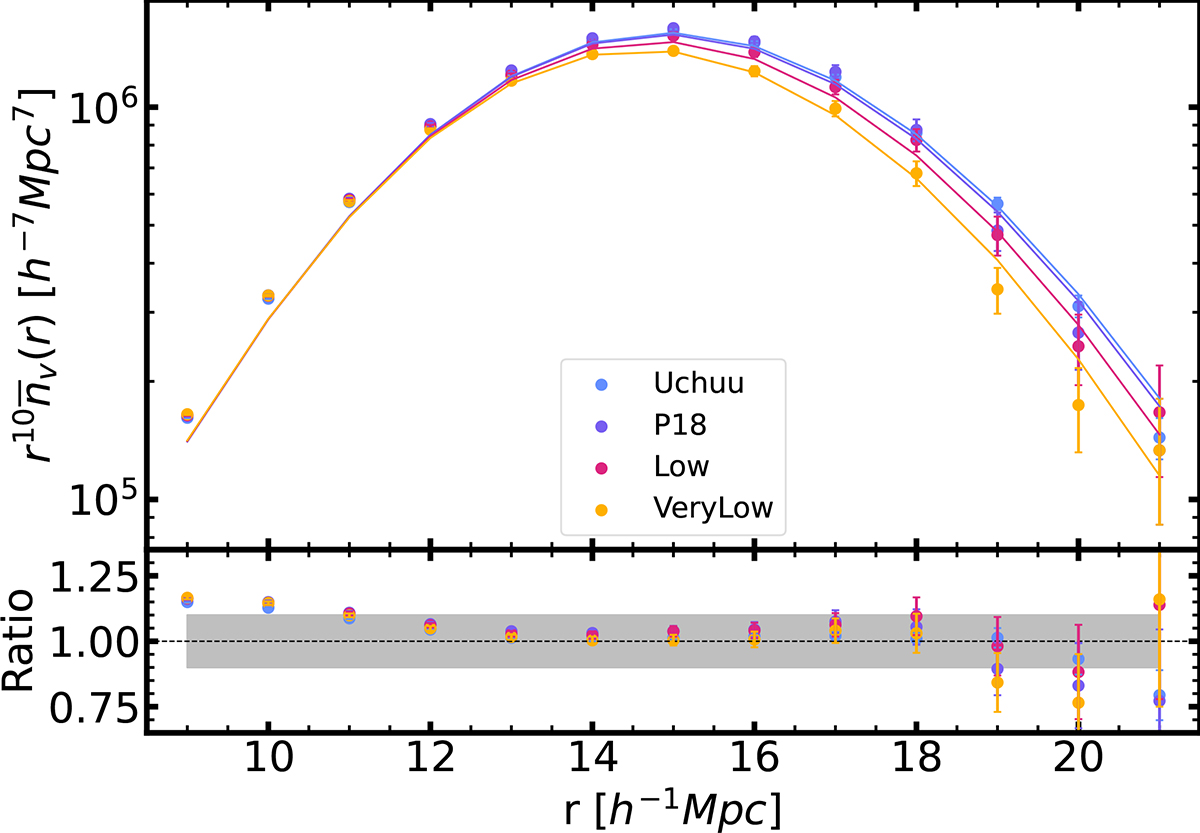
Fig. 4.

image

Download original image

Number density of voids larger than r in real space is shown for the theoretical framework (lines) and simulations (dots), shown in the left panel. The ratio between simulations and theoretical framework is shown in the bottom panels for the Uchuu, P18, Low, and VeryLow box catalogues with a number density of n ¯ = 3 × 10 3 h 3 $ \bar{n}=3\times10^{-3}\,h^{3} $ Mpc−3. The shaded region in the bottom panel delimits the region between 0.9 and 1.10 for the ratio.

Current usage metrics show cumulative count of Article Views (full-text article views including HTML views, PDF and ePub downloads, according to the available data) and Abstracts Views on Vision4Press platform.

Data correspond to usage on the plateform after 2015. The current usage metrics is available 48-96 hours after online publication and is updated daily on week days.

Initial download of the metrics may take a while.