Open Access

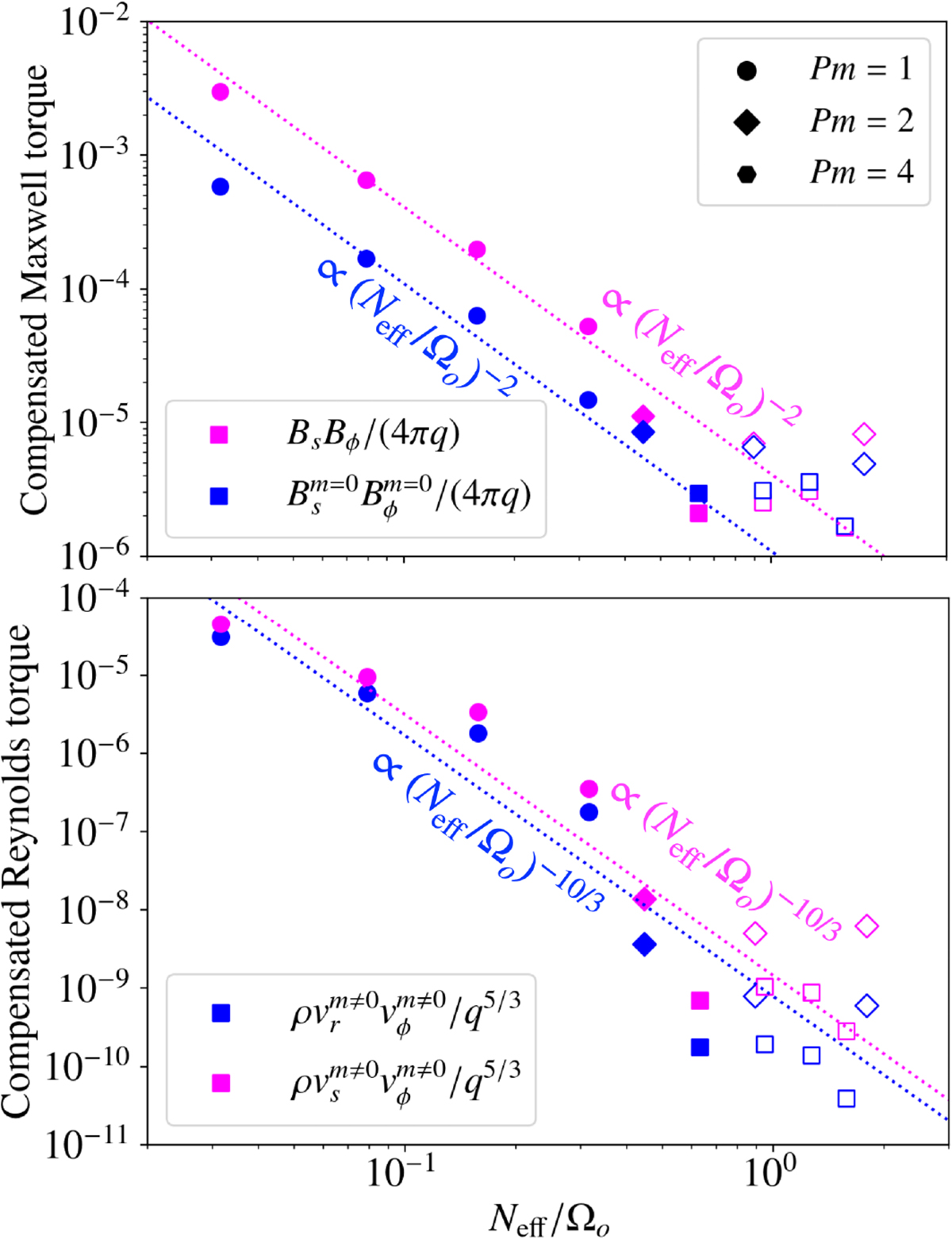
Fig. 9.

image

Download original image

RMS Maxwell (top) and Reynolds (bottom) torques compensated with the measured shear rate as a function of the ratio between the effective Brunt-Väisälä frequency to the rotation rate at the outer sphere. Dotted lines show the best fits obtained with Fuller’s theoretical scaling laws. Filled and empty markers represent self-sustained and transient dynamos, respectively.

Current usage metrics show cumulative count of Article Views (full-text article views including HTML views, PDF and ePub downloads, according to the available data) and Abstracts Views on Vision4Press platform.

Data correspond to usage on the plateform after 2015. The current usage metrics is available 48-96 hours after online publication and is updated daily on week days.

Initial download of the metrics may take a while.