Open Access

Fig. 3

image

Download original image

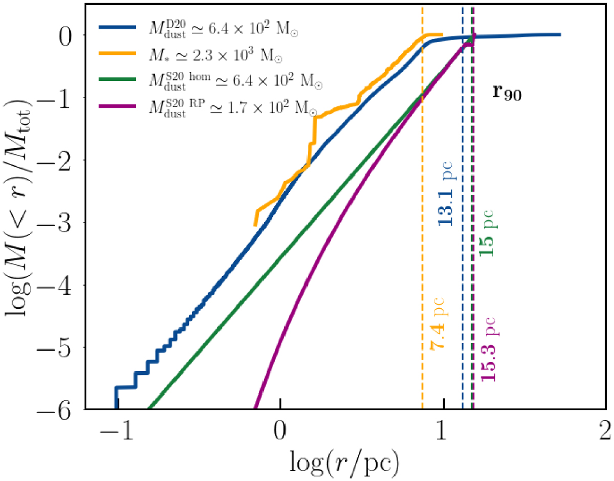
Fraction of dust mass (Mdust, blue line) and stellar mass (M, orange line) enclosed within a sphere of radius r. Total masses are indicated in the legend. Vertical dashed lines mark the radii containing 90% of the total mass for each component (rdust,90 and r*,90) with values reported in the figure. As a reference, we show the enclosed dust for the S20 model in the homogeneous (rdust, 90S20 hom90$r_{{\rm{dust,}}90}^{{\rm{S}}20{\rm{hom}}} \simeq 90$, green line) and radiation– pressure (Mdust S20 RP$M_{{\rm{dust}}}^{{\rm{S}}20{\rm{RP}}}$, magenta line) case, as well as the radii enclosing the 90% of the total mass in both cases (rdust,90 S20 hom$r_{{\rm{dust,90}}}^{S20}$ and rdust,90 S20 RP$r_{{\rm{dust,90}}}^{{\rm{S}}20{\rm{RP}}}$, respectively).

Current usage metrics show cumulative count of Article Views (full-text article views including HTML views, PDF and ePub downloads, according to the available data) and Abstracts Views on Vision4Press platform.

Data correspond to usage on the plateform after 2015. The current usage metrics is available 48-96 hours after online publication and is updated daily on week days.

Initial download of the metrics may take a while.