Open Access

Fig. 6

image

Download original image

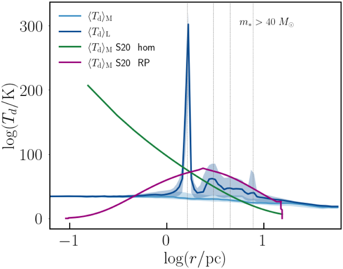
Dust temperature radial profile of the MC at the reference snapshot. The light blue (dark blue) line shows the median of the mass- weighted (luminosity-weighted) dust temperatures in spherical shells; the corresponding shaded areas bracket the 16th–84th percentiles. Vertical dotted lines mark the positions of massive (m ≥ 40 M) stars. As a reference, we show the temperature profile for the S20 model in the homogeneous case (green line) and in the radiation pressure case (magenta line).

Current usage metrics show cumulative count of Article Views (full-text article views including HTML views, PDF and ePub downloads, according to the available data) and Abstracts Views on Vision4Press platform.

Data correspond to usage on the plateform after 2015. The current usage metrics is available 48-96 hours after online publication and is updated daily on week days.

Initial download of the metrics may take a while.