Open Access

Fig. 9

image

Download original image

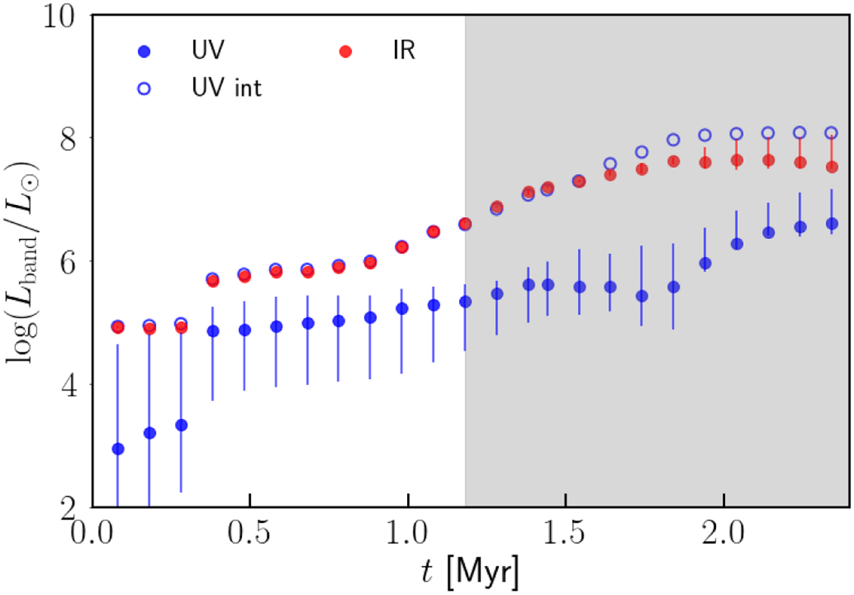
Luminosity evolution for the MC. Total UV (blue) and IR (red) luminosity as a function of cloud age since the onset of SF. Empty circles show the intrinsic stellar radiation, i.e., ignoring dust absorption. Full circles indicate the median luminosity among the different observing directions considered, whereas the error bars bracket the minimum and maximum luminosity. The shaded area highlights the period when the cloud is dispersed according to the radiation–pressure model from S20 (cf. Sect. 2.3).

Current usage metrics show cumulative count of Article Views (full-text article views including HTML views, PDF and ePub downloads, according to the available data) and Abstracts Views on Vision4Press platform.

Data correspond to usage on the plateform after 2015. The current usage metrics is available 48-96 hours after online publication and is updated daily on week days.

Initial download of the metrics may take a while.