Open Access

Fig. 3.

image

Download original image

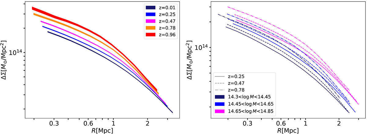
Average cluster matter profiles ΔΣ(R) in the Magneticum simulation at five redshifts (color-coded on left) for the same halo-mass bin, 14.65 <  log(M200c/M)< 14.85, and for three mass and redshift bins (color and line-type coded on right). The dependence of the matter profiles on cluster mass and redshift is clearly visible. The thickness of the lines represents the 68% credible region in the average matter profiles.

Current usage metrics show cumulative count of Article Views (full-text article views including HTML views, PDF and ePub downloads, according to the available data) and Abstracts Views on Vision4Press platform.

Data correspond to usage on the plateform after 2015. The current usage metrics is available 48-96 hours after online publication and is updated daily on week days.

Initial download of the metrics may take a while.