Open Access

Fig. 3

image

Download original image

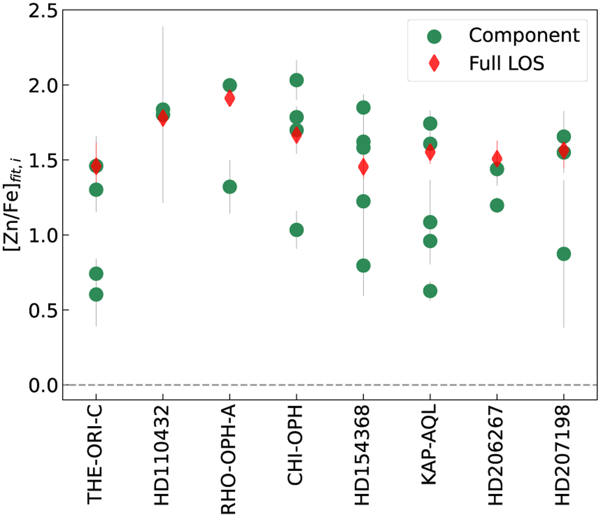
Depletion factors for individual components along each line of sight (green points). The [Zn/Fe]fit values for the entire line of sight are plotted as red diamonds.

Current usage metrics show cumulative count of Article Views (full-text article views including HTML views, PDF and ePub downloads, according to the available data) and Abstracts Views on Vision4Press platform.

Data correspond to usage on the plateform after 2015. The current usage metrics is available 48-96 hours after online publication and is updated daily on week days.

Initial download of the metrics may take a while.