Open Access

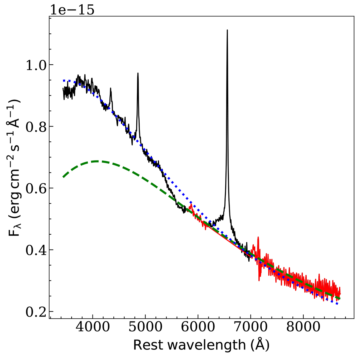
Fig. 17.

image

Download original image

Spectrum of SN 2021acya at +61 days (black). The green dashed line is the estimated BB flux from the fit on the red part of the spectrum, while the blue dotted line is the estimated BB flux from the fit on the whole spectrum. We note that the blue BB does not fit the spectrum between 5000 and 6000 Å well.

Current usage metrics show cumulative count of Article Views (full-text article views including HTML views, PDF and ePub downloads, according to the available data) and Abstracts Views on Vision4Press platform.

Data correspond to usage on the plateform after 2015. The current usage metrics is available 48-96 hours after online publication and is updated daily on week days.

Initial download of the metrics may take a while.