Open Access

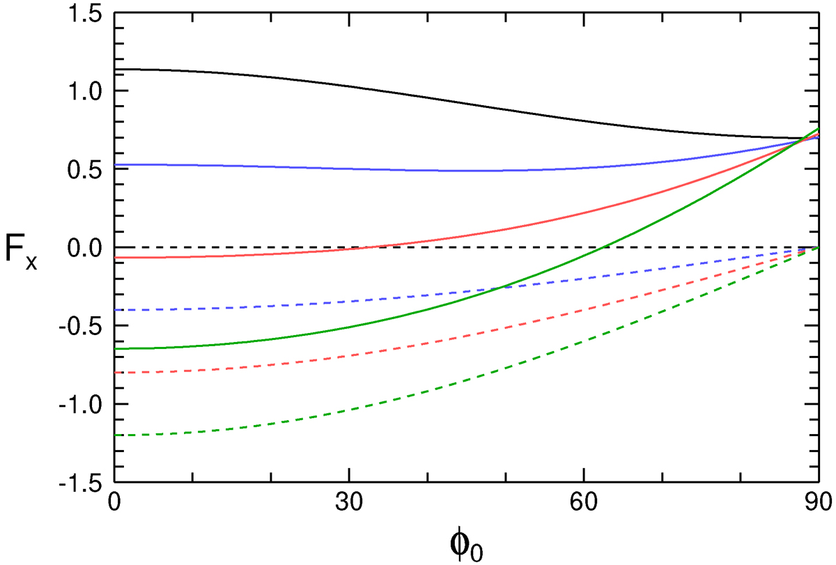
Fig. 10.

image

Download original image

Diamagnetic force acting on the obstacle for different field gradients as a function of the background field angle ϕ0. Black lines are for B1 = 0 (without gradient), blue lines for B1 = B0/10, red lines for B1 = 2B0/10, and green lines for B1 = 3B0/10. Solid lines are for cases when the bow shock is present, and dashed lines are for cases without a bow shock.

Current usage metrics show cumulative count of Article Views (full-text article views including HTML views, PDF and ePub downloads, according to the available data) and Abstracts Views on Vision4Press platform.

Data correspond to usage on the plateform after 2015. The current usage metrics is available 48-96 hours after online publication and is updated daily on week days.

Initial download of the metrics may take a while.