Open Access

Fig. 1.

image

Download original image

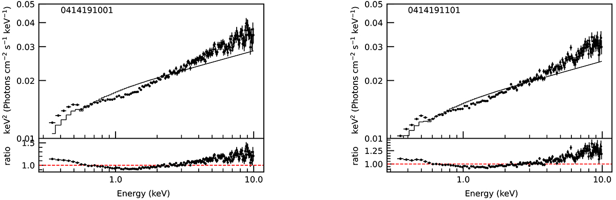
Sample plots showing TBABS(PL)-fitted 0.3–10 keV spectra of 3C 273 (top panel) and the ratio of data/model (bottom panel). The observation ID is mentioned in each plot. Plots for the remaining XMM-Newton observations are shown in Fig. B.1.

Current usage metrics show cumulative count of Article Views (full-text article views including HTML views, PDF and ePub downloads, according to the available data) and Abstracts Views on Vision4Press platform.

Data correspond to usage on the plateform after 2015. The current usage metrics is available 48-96 hours after online publication and is updated daily on week days.

Initial download of the metrics may take a while.