Open Access

Fig. 2

image

Download original image

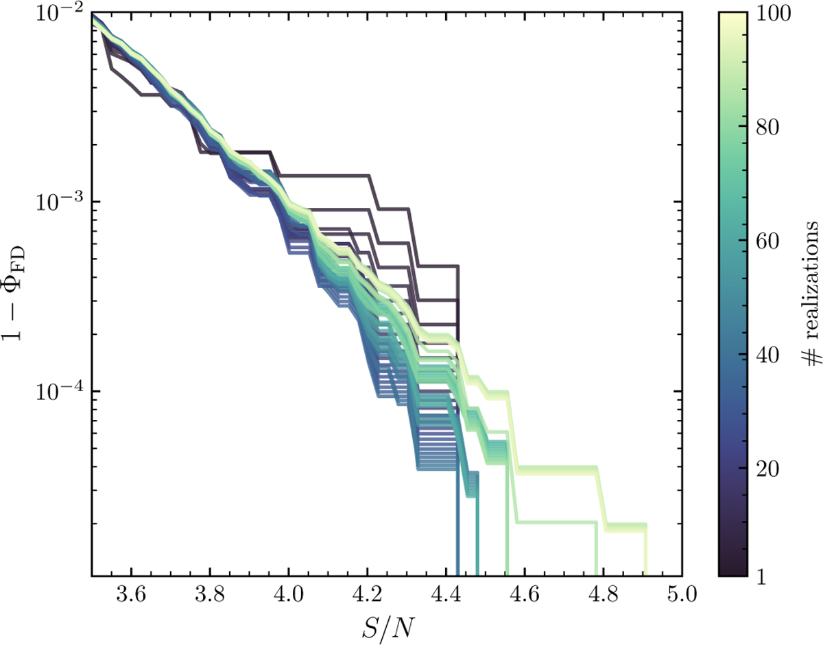
How an increasing number of jackknife realizations leads to a smoother Φ(x) that better samples the high- S/N of the probability of false detection, PFD(x)$\mathcal{P}_{\mathrm{FD}}(x)$. The probability functions are shown as one minus the mean cumulative distributions Φ(x) of PFD(x)$\mathcal{P}_{\mathrm{FD}}(x)$ as a function of the peak S/N for various amounts of jackknife realizations.

Current usage metrics show cumulative count of Article Views (full-text article views including HTML views, PDF and ePub downloads, according to the available data) and Abstracts Views on Vision4Press platform.

Data correspond to usage on the plateform after 2015. The current usage metrics is available 48-96 hours after online publication and is updated daily on week days.

Initial download of the metrics may take a while.