Open Access

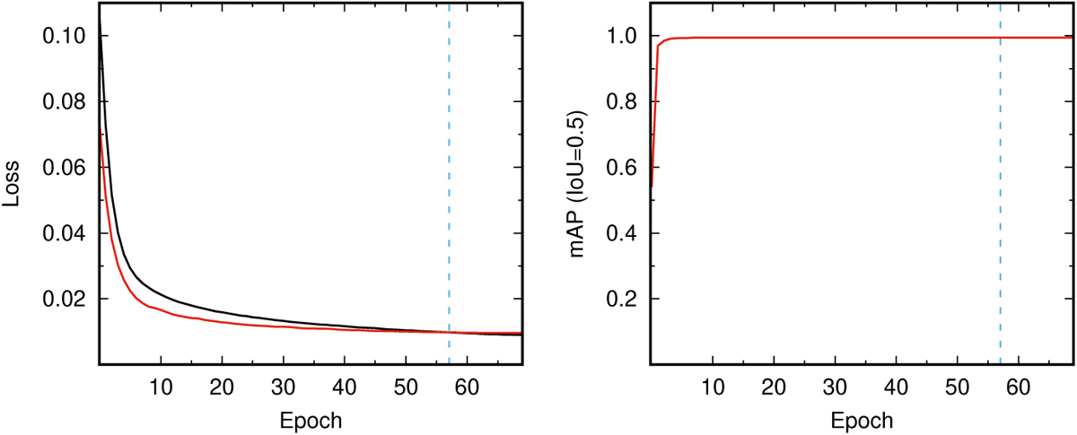
Fig. 13

image

Download original image

Plot showing the loss and mAP as they change with increasing epochs for the YOLO model. The black and red lines represent training and validation values, respectively, and the blue dashed line marks the epoch of the final model. The TensorBoard parameter plots are available in the provided Google Colab notebook8.

Current usage metrics show cumulative count of Article Views (full-text article views including HTML views, PDF and ePub downloads, according to the available data) and Abstracts Views on Vision4Press platform.

Data correspond to usage on the plateform after 2015. The current usage metrics is available 48-96 hours after online publication and is updated daily on week days.

Initial download of the metrics may take a while.