Open Access

Fig. 4.

image

Download original image

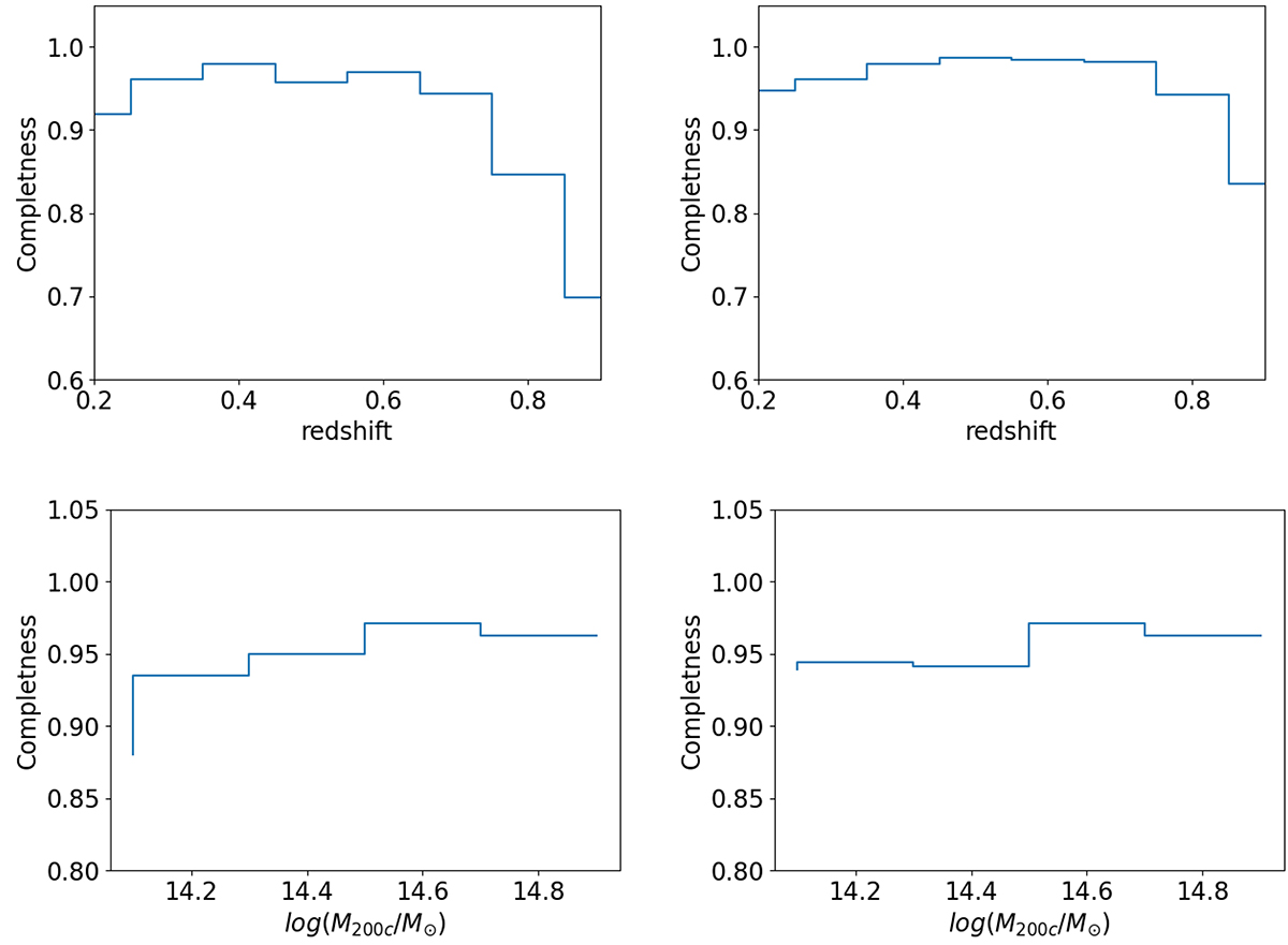
YOLO-CL DC2 detection completeness as a function of redshift (Top), and halo mass M200c (Bottom) for the 512 × 512 (left) and 1024 × 1024 (right) pixel images. The completeness as a function of redshift is almost flat at the region 0.2 < z < 0.8 with an average value of 0.85 for 512 × 512 and 0.95 for 1024 × 1024.

Current usage metrics show cumulative count of Article Views (full-text article views including HTML views, PDF and ePub downloads, according to the available data) and Abstracts Views on Vision4Press platform.

Data correspond to usage on the plateform after 2015. The current usage metrics is available 48-96 hours after online publication and is updated daily on week days.

Initial download of the metrics may take a while.