Open Access

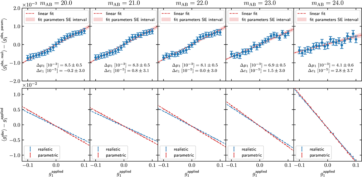
Fig. 12.

image

Download original image

Results of the cosmic shear measurement with KSB on 1 × 106 simulated galaxies at a fixed magnitude. The simulation was performed once with realistic galaxies from the deep learning model and once with their double-Sérsic counterparts. The bottom row depicts the individual shear biases measured on both branches, the upper row shows the difference of the mean shear at each increment with a linear fit and the standard error confidence interval for the fitted parameters Δμ1, Δc1.

Current usage metrics show cumulative count of Article Views (full-text article views including HTML views, PDF and ePub downloads, according to the available data) and Abstracts Views on Vision4Press platform.

Data correspond to usage on the plateform after 2015. The current usage metrics is available 48-96 hours after online publication and is updated daily on week days.

Initial download of the metrics may take a while.