Open Access

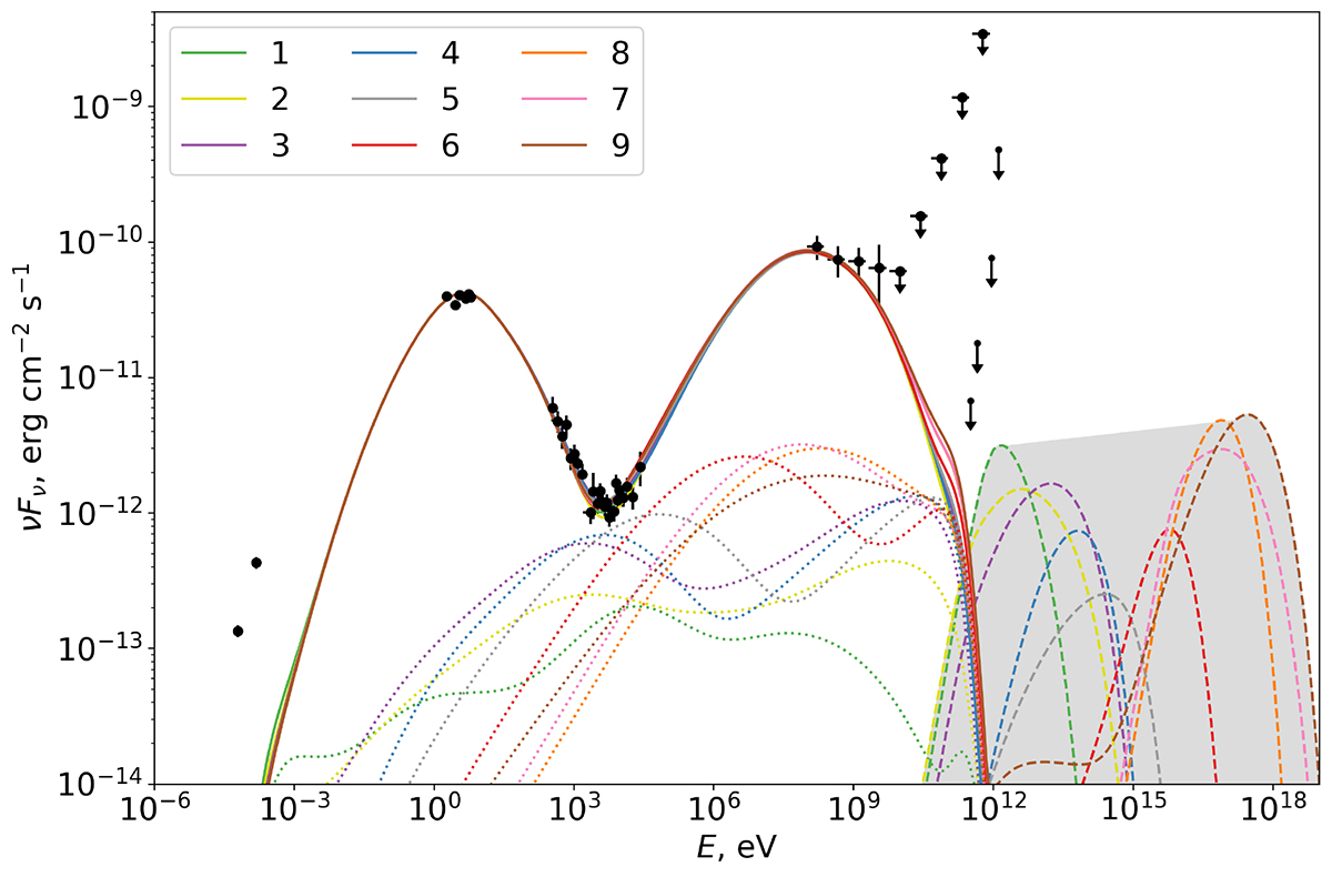
Fig. 5.

image

Download original image

Multiple leptohadronic models that explain the observed photon fluxes during the neutrino arrival. The solid curves correspond to the electromagnetic radiation. The dotted curves represent the contribution of the hadronic process in total photon fluxes, and the dashed curves represent the predicted all-flavor neutrino spectra. The values of the hadronic parameters corresponding to each model number from the legend are shown in Table 3.

Current usage metrics show cumulative count of Article Views (full-text article views including HTML views, PDF and ePub downloads, according to the available data) and Abstracts Views on Vision4Press platform.

Data correspond to usage on the plateform after 2015. The current usage metrics is available 48-96 hours after online publication and is updated daily on week days.

Initial download of the metrics may take a while.