Open Access

Fig. 3

image

Download original image

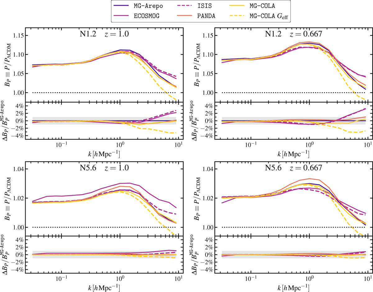
Amplification factor of the matter power spectra from simulations of two nDGP scenarios, rc=12H01${r_{\rm{c}}} = 12H_0^{ - 1}$ (N1.2, top row) and rc=5.6H01${r_{\rm{c}}} = 56H_0^{ - 1}$ (N5.6, bottom row), relative to the reference ACDM cosmology. The amplification factor BP = P/PACDM is measured for different codes (different line styles) at two different redshifts, z = 1 (left panels) and z = 0.667 (right panels). The bottom panel of each plot shows the relative agreement of the individual measurements, using MG–Arepo as a common reference.

Current usage metrics show cumulative count of Article Views (full-text article views including HTML views, PDF and ePub downloads, according to the available data) and Abstracts Views on Vision4Press platform.

Data correspond to usage on the plateform after 2015. The current usage metrics is available 48-96 hours after online publication and is updated daily on week days.

Initial download of the metrics may take a while.