Open Access

Fig. 4.

image

Download original image

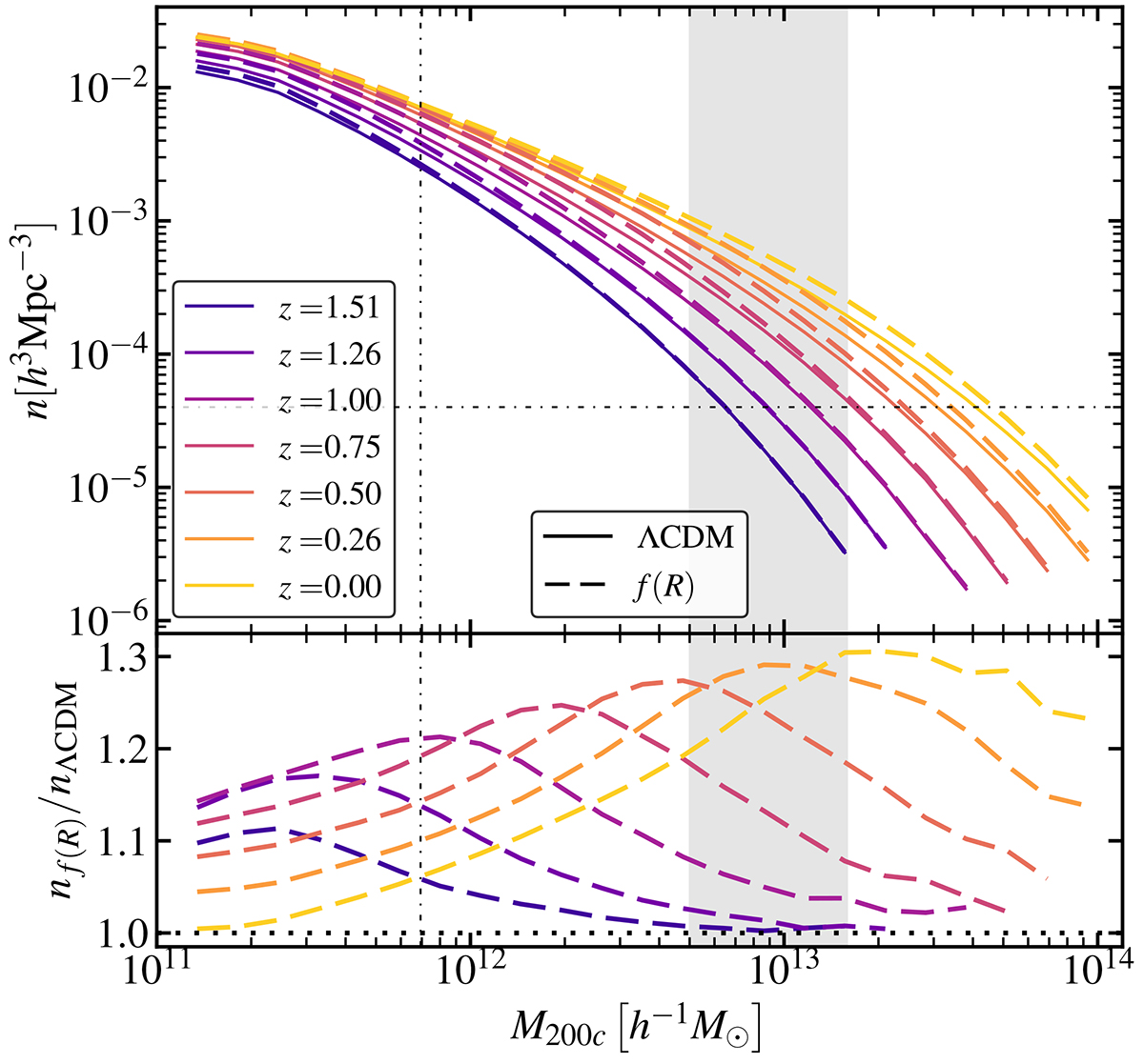
Calculated halo mass function from the FORGE simulation suite. The vertical and horizontal dash-dotted lines indicate the mass relative to halos with 50 particles and the number density relative to a 1% shot-noise error, respectively. The shaded region highlights the mass bin used to calculate the halo power spectra shown in Fig. 5.

Current usage metrics show cumulative count of Article Views (full-text article views including HTML views, PDF and ePub downloads, according to the available data) and Abstracts Views on Vision4Press platform.

Data correspond to usage on the plateform after 2015. The current usage metrics is available 48-96 hours after online publication and is updated daily on week days.

Initial download of the metrics may take a while.