Open Access

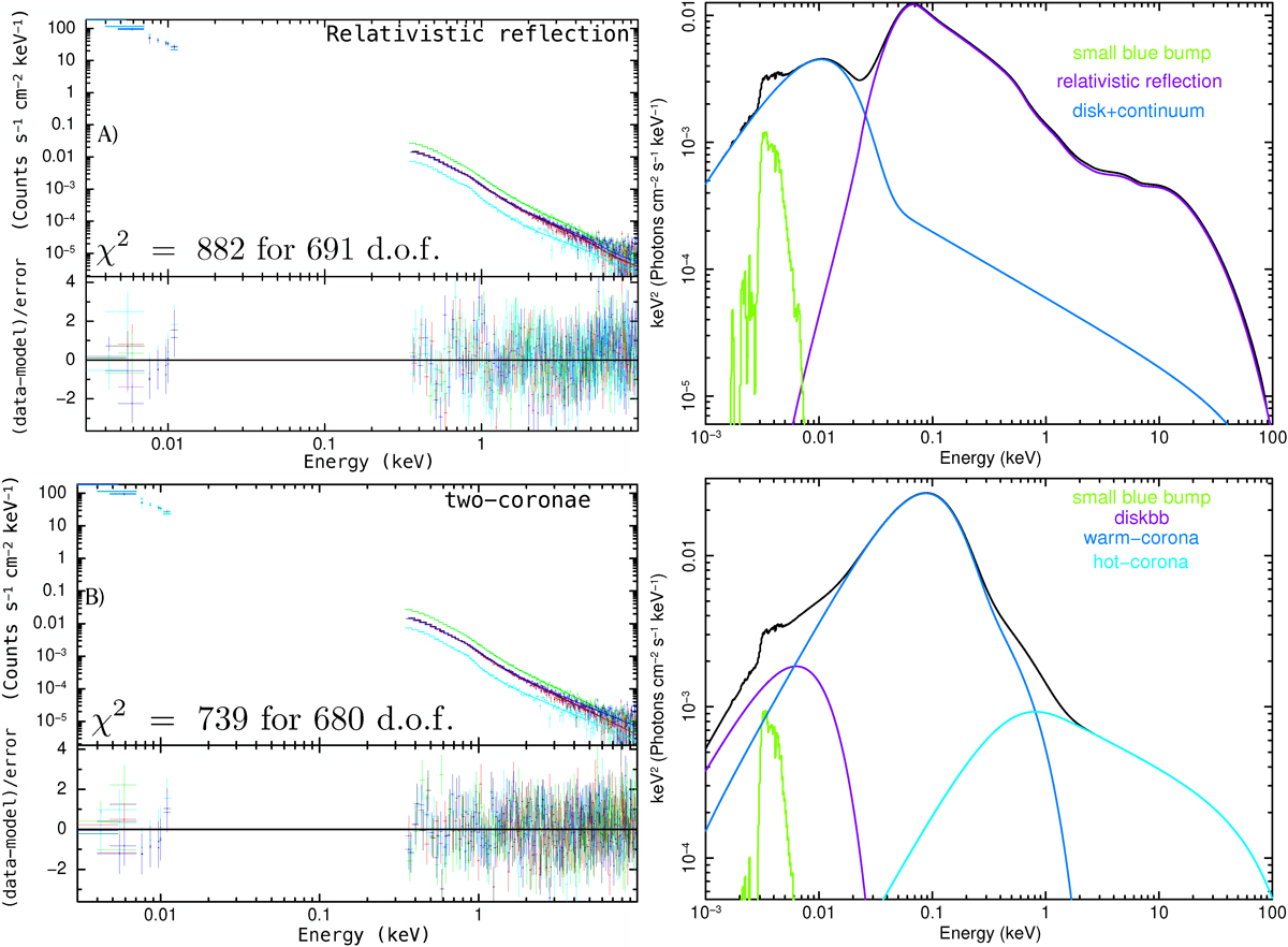
Fig. 8.

image

Download original image

Top panels: Broadband fit to the OM, COS, and EPIC-pn data assuming the soft X-ray excess to be dominated by relativistic reflection (top left ). In the top right panel, we show the different contributions to the overall emission spectrum of RBS 1332 for each of the model components inferred from Obs. 1. Bottom panels: Broadband fit of the same dataset, assuming the soft X-ray excess to be dominated by a warm Comptonisation (left panel). Right panel: Different contribution to the overall emission spectrum of RBS 1332 derived from the first observation of our observational campaign.

Current usage metrics show cumulative count of Article Views (full-text article views including HTML views, PDF and ePub downloads, according to the available data) and Abstracts Views on Vision4Press platform.

Data correspond to usage on the plateform after 2015. The current usage metrics is available 48-96 hours after online publication and is updated daily on week days.

Initial download of the metrics may take a while.