Open Access

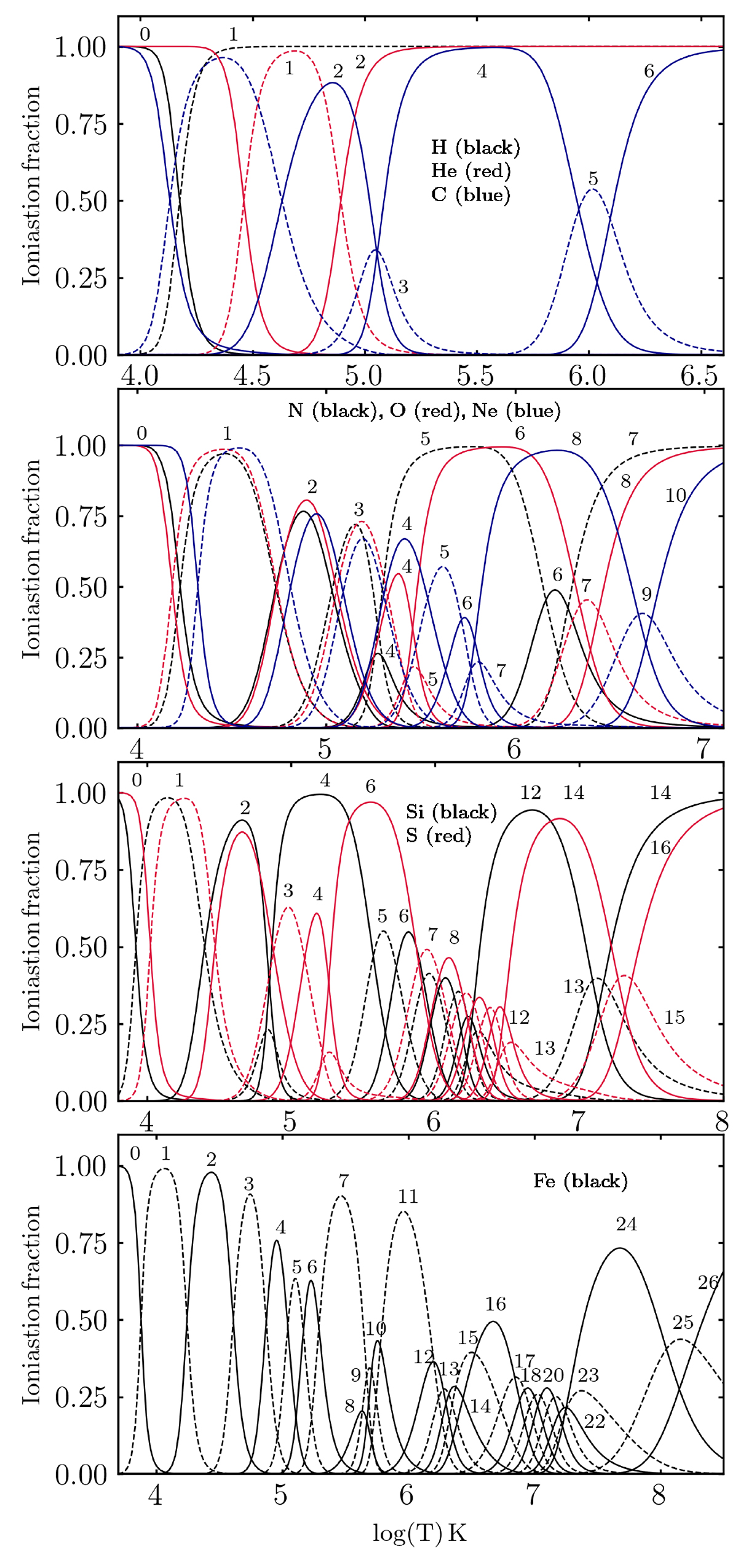
Fig. 1.

image

Download original image

Ionisation fractions of the elements included in our microphysics module under CIE conditions, obtained by integrating until equilibrium is obtained. The first panel depicts the ionisation levels of H (black), He (red), and C (blue); the second panel the ionisation levels of N (black), O (red), and Ne (blue); the third panel the ionisation levels of Si (black) and S (red); and the fourth panel the ionisation levels of Fe (black).

Current usage metrics show cumulative count of Article Views (full-text article views including HTML views, PDF and ePub downloads, according to the available data) and Abstracts Views on Vision4Press platform.

Data correspond to usage on the plateform after 2015. The current usage metrics is available 48-96 hours after online publication and is updated daily on week days.

Initial download of the metrics may take a while.