Open Access

Fig. 10.

image

Download original image

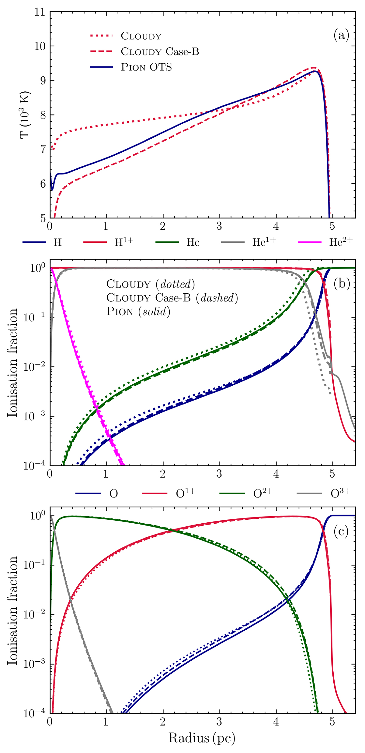
Photoionisation equilibrium calculation for the temperature and ionisation state of a static H II region for a H number density nH = 10 cm−3: (a) gas temperature vs. radius for 3 different calculations: dotted-red line obtained with CLOUDY, dashed-red line CLOUDY with the Case-B setting and solid-blue line shows the result with PION using the On-the-Spot approximation (see text for details); (b) ionisation state of H and He as a function of radius: solid lines are results obtained with PION, dotted lines with CLOUDY and dashed lines CLOUDY+CaseB; and (c) as (b) but showing ionisation state of O as a function of radius.

Current usage metrics show cumulative count of Article Views (full-text article views including HTML views, PDF and ePub downloads, according to the available data) and Abstracts Views on Vision4Press platform.

Data correspond to usage on the plateform after 2015. The current usage metrics is available 48-96 hours after online publication and is updated daily on week days.

Initial download of the metrics may take a while.