Open Access

Fig. 11.

image

Download original image

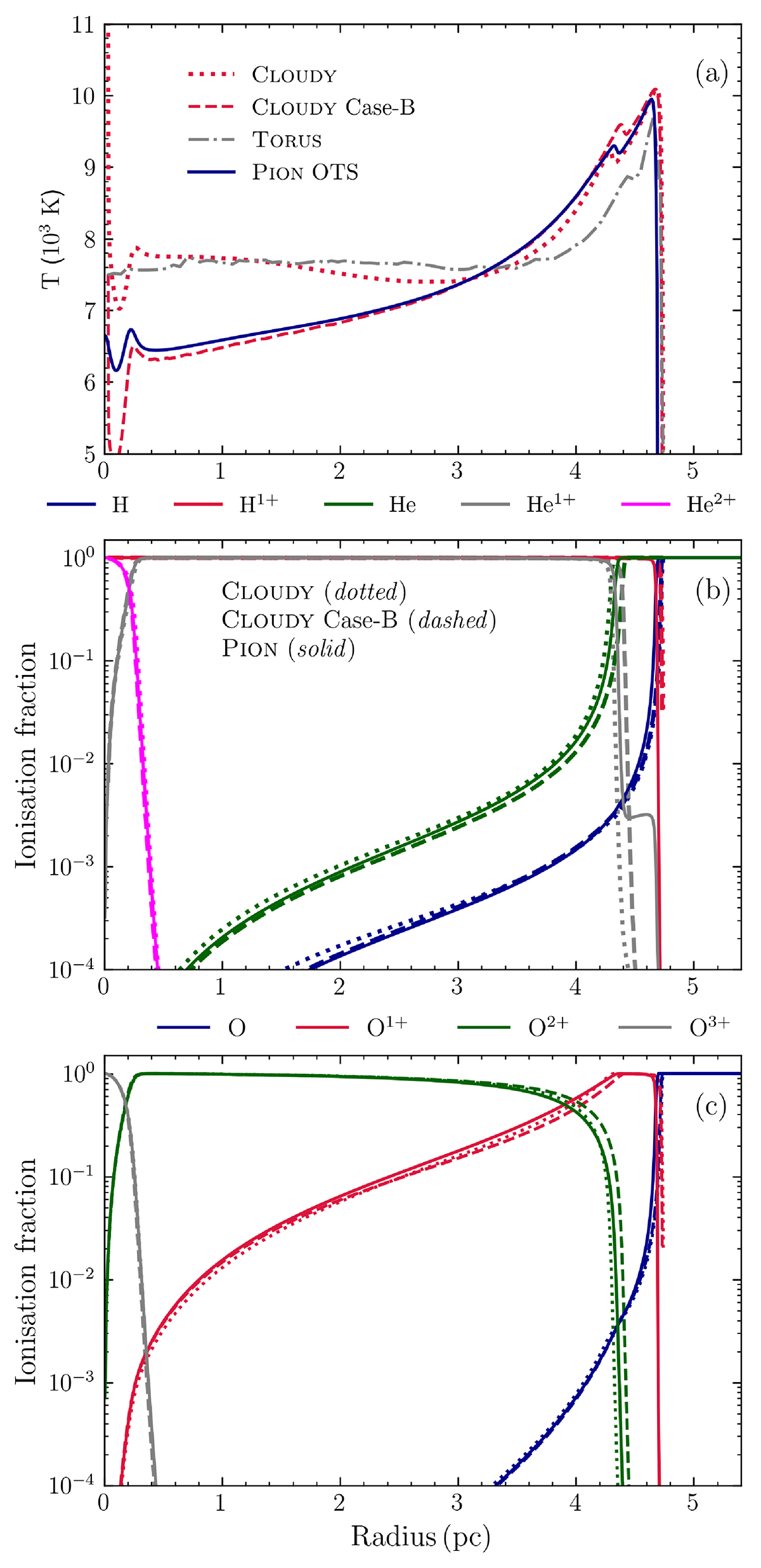
Photoionisation equilibrium calculation for the temperature and ionisation state of a static H II region for a H number density nH = 100 cm−3 (The Lexington HII40 benchmark test): panels (a), (b), and (c) as for Fig. 10 except that panel (a) also includes the result from TORUS.

Current usage metrics show cumulative count of Article Views (full-text article views including HTML views, PDF and ePub downloads, according to the available data) and Abstracts Views on Vision4Press platform.

Data correspond to usage on the plateform after 2015. The current usage metrics is available 48-96 hours after online publication and is updated daily on week days.

Initial download of the metrics may take a while.