Open Access

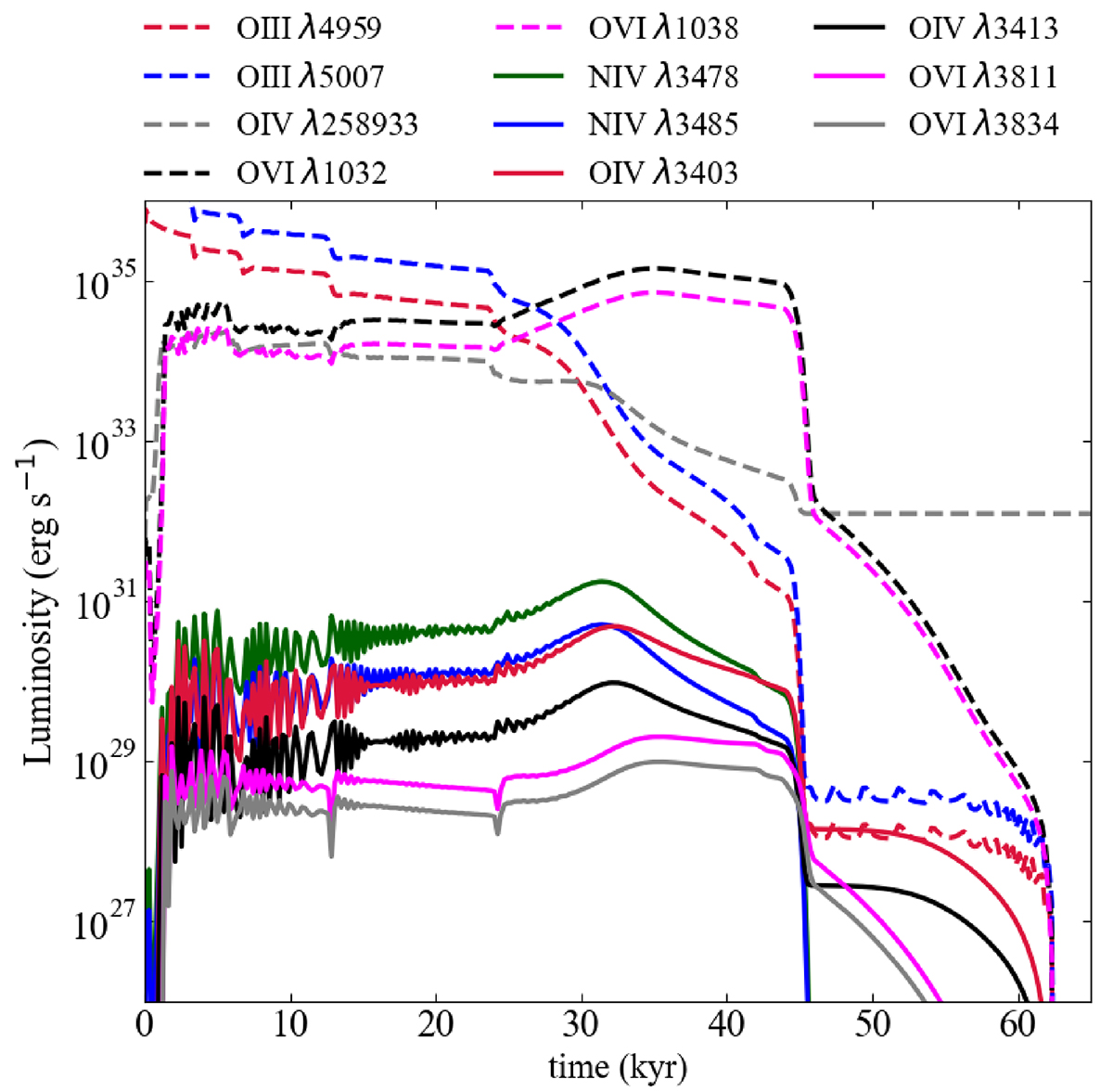
Fig. 14.

image

Download original image

Time evolution of luminosity for selected oxygen and nitrogen emission lines for the 1D wind-wind simulation in Sect. 4, calculated as described in Sect. 4.2. The forward shock leaves the domain at around 45 kyr, and the associated sharp drop in some line luminosities is therefore artificial.

Current usage metrics show cumulative count of Article Views (full-text article views including HTML views, PDF and ePub downloads, according to the available data) and Abstracts Views on Vision4Press platform.

Data correspond to usage on the plateform after 2015. The current usage metrics is available 48-96 hours after online publication and is updated daily on week days.

Initial download of the metrics may take a while.