Open Access

Fig. 9.

image

Download original image

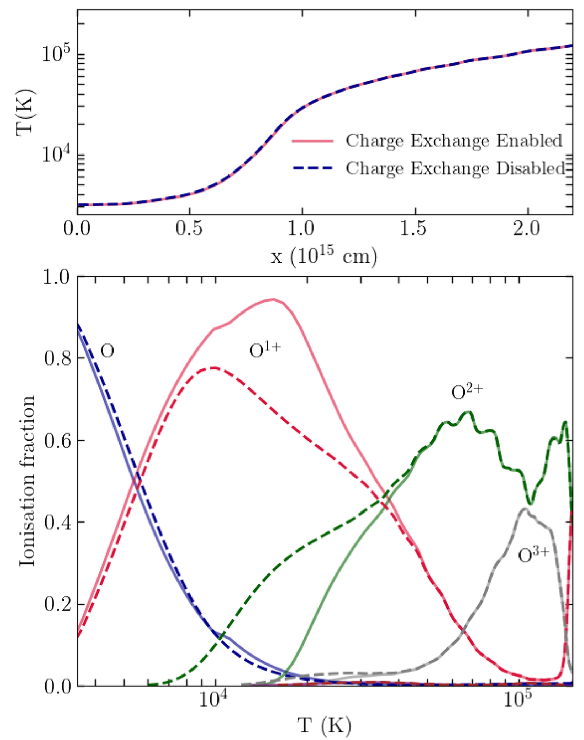
Temperature and ionisation profiles of the shocked gas with and without charge transfer processes. The top panel shows temperature as a function of position, with the shock off the grid to the right, and the flow from right to left. The temperature profile with and without charge-exchange is almost identical. The bottom panel shows the ionisation fractions of oxygen, emphasizing the significance of charge transfer reactions for the oxygen ionisation state, especially below 6 × 103 K.

Current usage metrics show cumulative count of Article Views (full-text article views including HTML views, PDF and ePub downloads, according to the available data) and Abstracts Views on Vision4Press platform.

Data correspond to usage on the plateform after 2015. The current usage metrics is available 48-96 hours after online publication and is updated daily on week days.

Initial download of the metrics may take a while.