Open Access

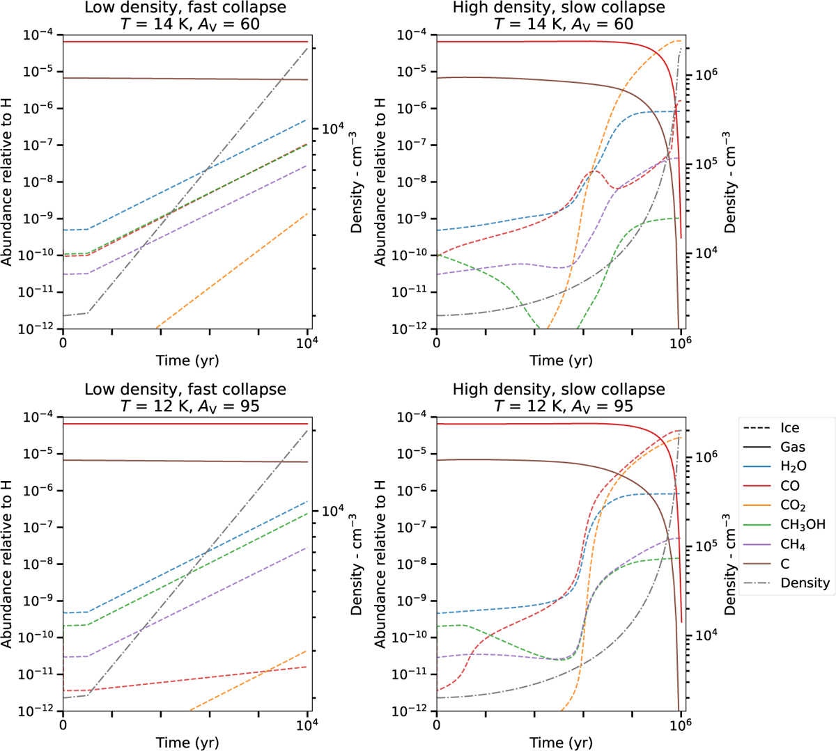
Fig. B.3

image

Download original image

Time evolution for the species closely related to the formation of CH3OH and hydrides in the ice predicted by some of our UCLCHEM models (the extreme cases) for the collapse phase.

Current usage metrics show cumulative count of Article Views (full-text article views including HTML views, PDF and ePub downloads, according to the available data) and Abstracts Views on Vision4Press platform.

Data correspond to usage on the plateform after 2015. The current usage metrics is available 48-96 hours after online publication and is updated daily on week days.

Initial download of the metrics may take a while.