Open Access

Fig. 11.

image

Download original image

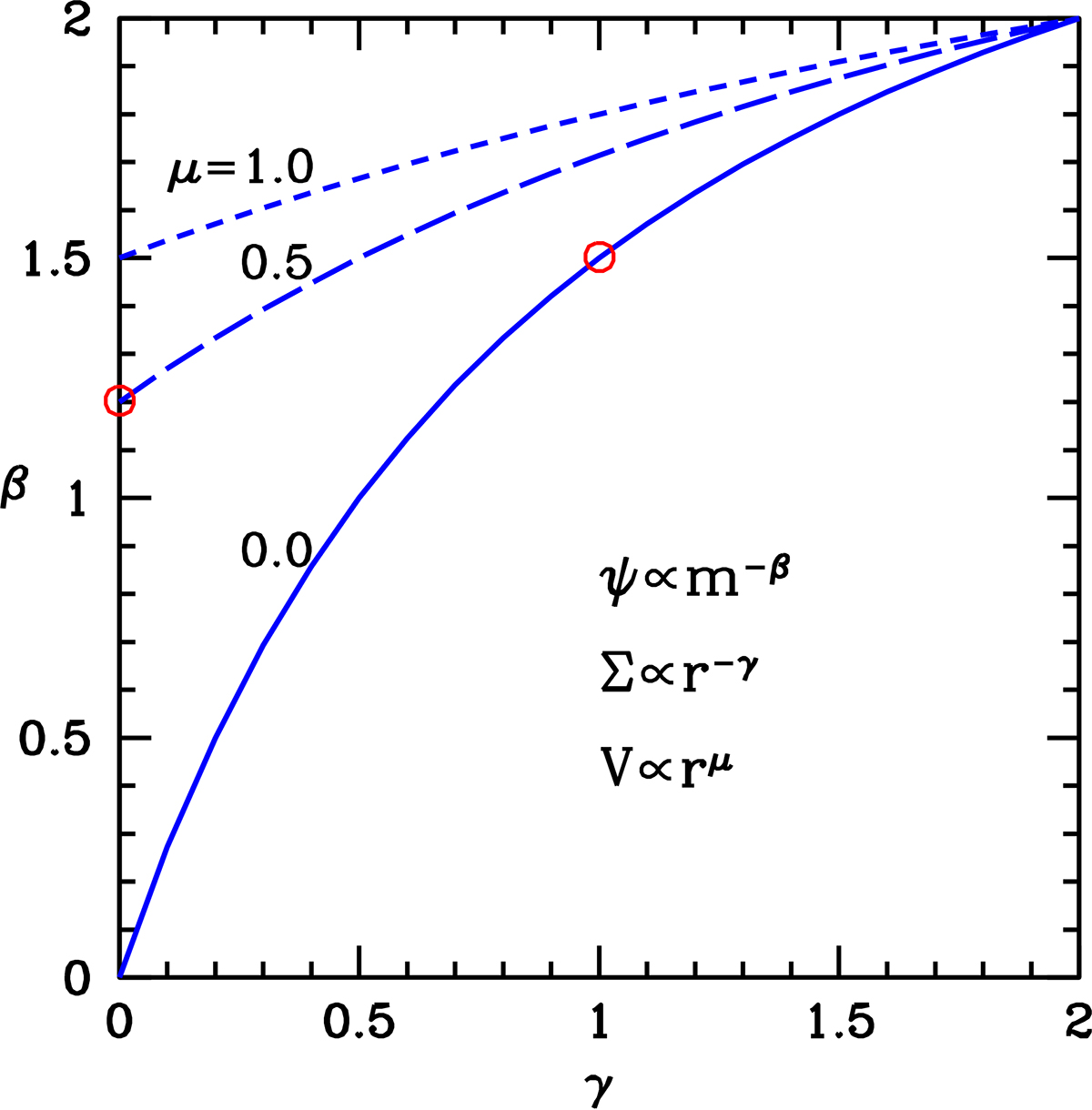
Negative slope β of the mass function of BH seeds as they merge with the central SMBH, ψ ∝ mβ. It is derived using Eq. (42) assuming an original BH mass function ϕ ∝ m−2 everywhere in the disk, a disk of BHs with a power-law surface density profile Σ ∝ rγ, and a total circular velocity Vc ∝ rμ (which may include the additional contribution of a halo and a post-compaction central mass). At time t and mass m, these two power laws are relevant for the radial region from which BHs of mass m arrive to the center at time t, as derived for a hot disk using tdf​ = ​0.5Vc/adf and adf from Eq. (19). Self-gravitating disks with the shown μ are marked by red circles. We read, for example, that for a flat rotation curve (μ​ = ​0) and for the BHs that arrive from the disk range where Σ ∝ r−1 (a self-gravitating Mestel disk) the mass function at the center is ψ ∝ m−1.5. These values of β refer to the mass function used in the recoil simulations summarized in Fig. 13.

Current usage metrics show cumulative count of Article Views (full-text article views including HTML views, PDF and ePub downloads, according to the available data) and Abstracts Views on Vision4Press platform.

Data correspond to usage on the plateform after 2015. The current usage metrics is available 48-96 hours after online publication and is updated daily on week days.

Initial download of the metrics may take a while.