Open Access

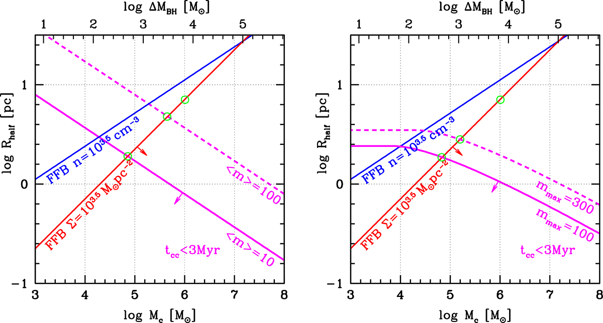
Fig. 2.

image

Download original image

Black hole growth in non-rotating FFB clusters with a broad IMF. Shown is the cluster half-mass radius versus mass. The magenta curves and regions below them refer to clusters where core collapse occurs within 3 Myr, the lifetime of massive stars. Left: based on Eq. (4) (Portegies Zwart & McMillan 2002; Devecchi & Volonteri 2009), assuming either ⟨m⟩​ = ​10 M (solid) or ⟨m⟩​ = ​100 M (dashed). Right: based on Eq. (3) (Rizzuto et al. 2021, Eq. (4)), assuming mmax​ = ​100 (solid) or 300 M (dashed). The blue and red lines refer to constant density n​ = ​103.5 cm−3 and surface density Σ​ = ​103.5M pc−2 within the half-mass radius. Feedback-free starbursts are expected to occur near such densities. FFB clouds of the Jeans mass and radius, ∼106M and ∼7 pc, lie above the core-collapse line, though not too far away if the IMF is very top-heavy, of a population-III.1 type, with ⟨m⟩​ ∼ ​100 M (left) or mmax​ > ​300 M (right). If the sub-Jeans clouds form by fragmentation with the same Σ, they should lie along the red line, such that core collapse will occur in 3 Myr for Mc ≤ 105M and Re ≤ 2 pc. The corresponding black-hole mass at the end of the FFB phase, Eq. (5), in addition to the initial mass of the massive star that became the VMS, is marked in the top axis, indicating Mbh​ ∼ ​103M in ∼105M clusters.

Current usage metrics show cumulative count of Article Views (full-text article views including HTML views, PDF and ePub downloads, according to the available data) and Abstracts Views on Vision4Press platform.

Data correspond to usage on the plateform after 2015. The current usage metrics is available 48-96 hours after online publication and is updated daily on week days.

Initial download of the metrics may take a while.