Open Access

Fig. 4.

image

Download original image

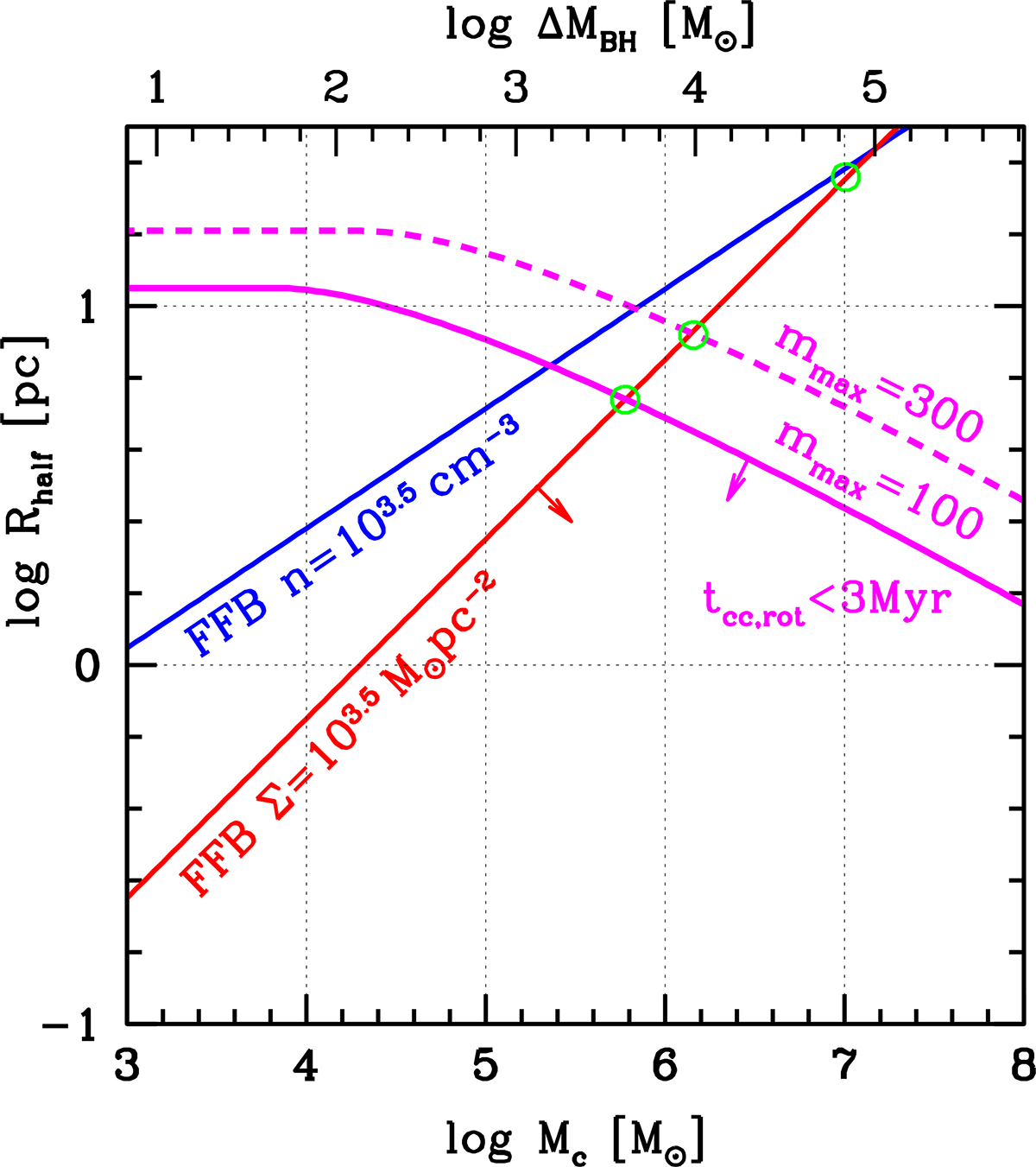
Black hole growth in rotating FFB clusters with a broad IMF. Same as Fig. 2, right panel, based on Eq. (3) (Rizzuto et al. 2021, Eq. (4)), but with tcc reduced by a factor of 10 due to rotation (gravo-gyro instability; Hachisu 1979, 1982; Hong et al. 2013; Kamlah et al. 2022) and flattening. The FFB clouds that form by disk instability at the characteristic Toomre mass of ∼107M (Dekel et al. 2023a), lie above the curve (magenta) that marks core-collapse in 3 Myr. However, if sub-Toomre clouds form by fragmentation with the same Σ, they should lie along the red line, such that core collapse will occur in 3 Myr for Mc ≤ 106M. The corresponding black-hole mass at the end of the FFB phase, Eq. (5), is Mbh ≤ 104M (top axis).

Current usage metrics show cumulative count of Article Views (full-text article views including HTML views, PDF and ePub downloads, according to the available data) and Abstracts Views on Vision4Press platform.

Data correspond to usage on the plateform after 2015. The current usage metrics is available 48-96 hours after online publication and is updated daily on week days.

Initial download of the metrics may take a while.