Open Access

Fig. 7.

image

Download original image

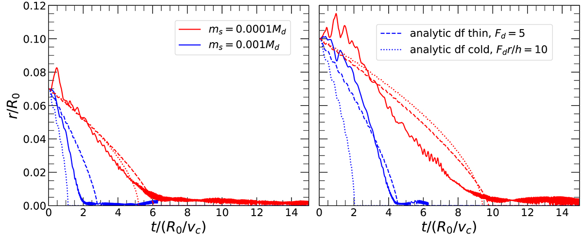
Testing the inward migration by dynamical friction in a disk. The solid curves refer to N-body simulations of a BH of mass m starting in a circular orbit at ri within a thin live Mestel disk with an isothermal halo as an external potential. The left and right panels refer to ri​ = ​0.07R0 and 0.1R0. Shown for comparison are analytic estimates based on Eq. (21) (dotted) and Eq. (22) (dashed), crudely normalized for best overall fit in the four cases. We learn from this comparison that the analytic approximations are realistic conservative estimates.

Current usage metrics show cumulative count of Article Views (full-text article views including HTML views, PDF and ePub downloads, according to the available data) and Abstracts Views on Vision4Press platform.

Data correspond to usage on the plateform after 2015. The current usage metrics is available 48-96 hours after online publication and is updated daily on week days.

Initial download of the metrics may take a while.