Open Access

Fig. 2

image

Download original image

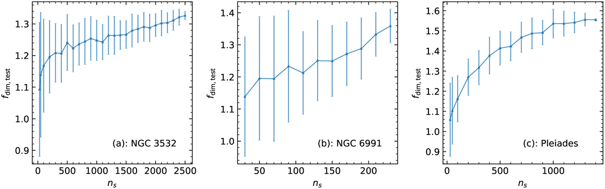
Dependence of the fractal dimension fdim,test on the number of member stars, ns, for three example clusters: NGC 3532 (a), NGC 6991 (b), and Pleiades (c). The blue triangles and the error bars indicate the corresponding mean fractal dimension and the standard deviation in the corresponding ns group of 100 iterations.

Current usage metrics show cumulative count of Article Views (full-text article views including HTML views, PDF and ePub downloads, according to the available data) and Abstracts Views on Vision4Press platform.

Data correspond to usage on the plateform after 2015. The current usage metrics is available 48-96 hours after online publication and is updated daily on week days.

Initial download of the metrics may take a while.