Open Access

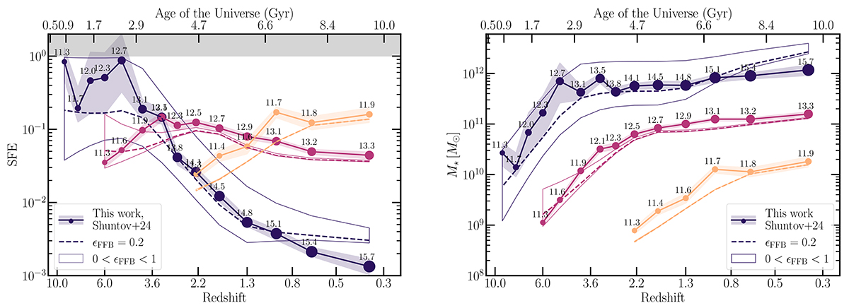
Fig. 12.

image

Download original image

Evolution of the SFE and stellar mass in dark matter halos, tracing the halo growth with cosmic time. Left: Evolution of the SFE for three different halos of the same initial mass, Mh = 2 × 1011M, starting their evolution at z = 9.3, z = 6.0, and z = 2.25, respectively. The halo mass growth follows Dekel et al. (2013) parametrization, and the SFE is computed from the SHMR at the corresponding redshift and halo mass. The size of the points corresponds to the halo mass, also annotated above each point (in log scale). Right: Stellar mass growth in the same halos as the left panel, where M = Mhϵfb. The envelope corresponds to the 1σ confidence interval propagated from the uncertainty in the SHMR. The dashed lines are computed in the same way, using the resulting SHMR from the FFB model at ϵ FFB = 0.2 $ \epsilon_{\star}^{\mathrm{FFB}}=0.2 $, while the transparent envelope encloses between no FFB and maximum efficiency 0.0 < ϵ FFB < 1.0 $ 0.0 < \epsilon_{\star}^{\mathrm{FFB}} < 1.0 $ (Liu et al. 2024). This shows that halos of 1011M starting their growth at z > 3.5 would be more efficient in assembling stellar mass by the time they reach 1012M.

Current usage metrics show cumulative count of Article Views (full-text article views including HTML views, PDF and ePub downloads, according to the available data) and Abstracts Views on Vision4Press platform.

Data correspond to usage on the plateform after 2015. The current usage metrics is available 48-96 hours after online publication and is updated daily on week days.

Initial download of the metrics may take a while.