Open Access

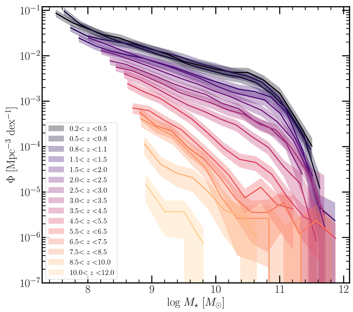
Fig. 4.

image

Download original image

Measurements of the SMF in COSMOS-Web in all 15 redshift bins. Each color corresponds to a different redshift bin. The solid lines mark the measurements, while the filled areas envelop the 1σ confidence interval including Poisson, cosmic variance, and SED-fitting errors. The SMF monotonically decreases at all redshifts, with a strong mass-dependent evolution.

Current usage metrics show cumulative count of Article Views (full-text article views including HTML views, PDF and ePub downloads, according to the available data) and Abstracts Views on Vision4Press platform.

Data correspond to usage on the plateform after 2015. The current usage metrics is available 48-96 hours after online publication and is updated daily on week days.

Initial download of the metrics may take a while.