Open Access

Fig. 5.

image

Download original image

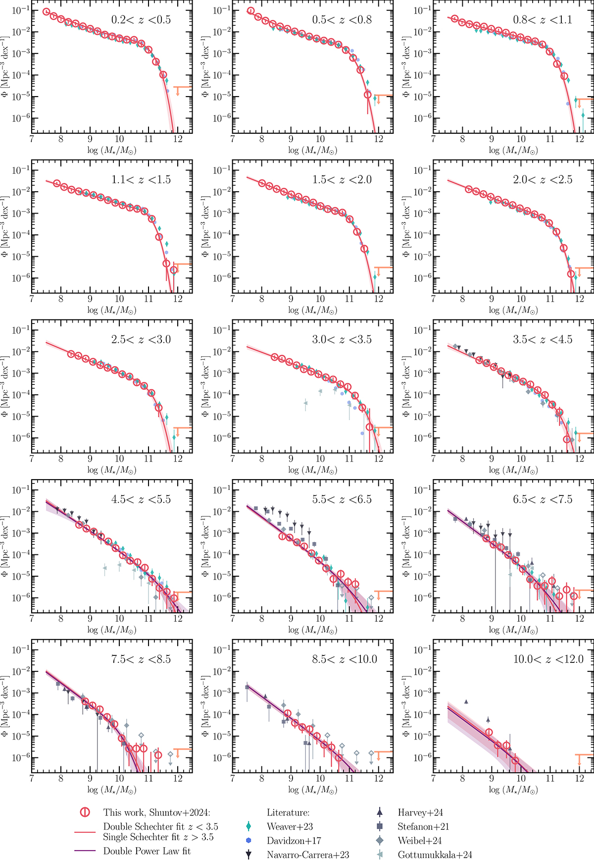
Measurements of the SMF and its evolution with redshift in COSMOS-Web. Each panel shows the SMF in a given redshift bin, along with measurements in the literature from Weaver et al. (2022), Davidzon et al. (2017), Stefanon et al. (2021), Navarro-Carrera et al. (2023), Weibel et al. (2024), Harvey et al. (2025). The upper limits for empty bins are shown for the COSMOS-Web volume. In each z bin, we show the functional form that fits best the data (lowest Bayesian information criterion), while at z > 4.5, we show both the single Schechter and DPL fits for illustration. We plot the functions convolved with the Eddington bias kernel.

Current usage metrics show cumulative count of Article Views (full-text article views including HTML views, PDF and ePub downloads, according to the available data) and Abstracts Views on Vision4Press platform.

Data correspond to usage on the plateform after 2015. The current usage metrics is available 48-96 hours after online publication and is updated daily on week days.

Initial download of the metrics may take a while.