Open Access

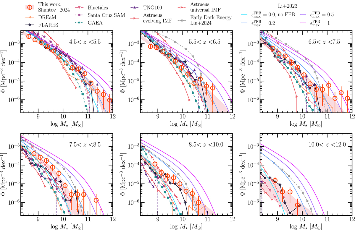
Fig. 9.

image

Download original image

Comparison of the COSMOS-Web SMF to theoretical models. Measurements and best fits from this work are shown in the orange circles and filled region. We compare with the predictions from the FFB model by Dekel et al. (2023), Li et al. (2024), which are based of UNIVERSEMACHINE (Behroozi et al. 2019) corresponding to different maximum SFEs (ϵ) in the FFB regime, shown with the solid lines. We also show the SMF from a number of semi-analytical (ASTRAEUS, Hutter et al. 2021; Cueto et al. 2024; SANTA CRUZ SAM, Yung et al. 2019; DREAM, Drakos et al. 2022; GAEA De Lucia et al. 2024) and hydrodynamical simulations (BLUETIDES, Feng et al. 2016; Wilkins et al. 2017; FLARES, Lovell et al. 2021; Vijayan et al. 2022; Wilkins et al. 2023; TNG100, Springel et al. 2018; Nelson et al. 2018; Pillepich et al. 2018; Marinacci et al. 2018; Naiman et al. 2018), and the predictions of the Early Dark Energy model by Liu et al. (2024).

Current usage metrics show cumulative count of Article Views (full-text article views including HTML views, PDF and ePub downloads, according to the available data) and Abstracts Views on Vision4Press platform.

Data correspond to usage on the plateform after 2015. The current usage metrics is available 48-96 hours after online publication and is updated daily on week days.

Initial download of the metrics may take a while.