Open Access

Fig. 10

image

Download original image

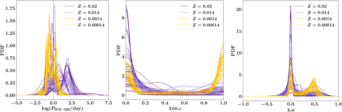
Left: probability distribution function (PDF) of the orbital periods PWR–BH at the end of the WR–BH configuration for progenitors of BBHs. The dashed line at PWR–BH = 1 day highlights the systems that are tight enough to induce efficient tidal spin-up (PWR–BH ≤ 1 day) according to the model by Bavera et al. (2021b). Center: probability distribution function of the dimensionless spin magnitude χBH, 2 of second-born BHs in WR–BHs evolving into BBHs. Spins are calculated with the model of Bavera et al. (2021b) that assumes tidal spin-up in close binaries and efficient angular momentum transport. All the 96 simulated sets (Table 1) exhibit a bimodal distribution. Right: probability distribution function of the effective spin parameter χeff obtained in all 96 sets, color-coded according to the assumed metallicity Z.

Current usage metrics show cumulative count of Article Views (full-text article views including HTML views, PDF and ePub downloads, according to the available data) and Abstracts Views on Vision4Press platform.

Data correspond to usage on the plateform after 2015. The current usage metrics is available 48-96 hours after online publication and is updated daily on week days.

Initial download of the metrics may take a while.